5
svar
307
visningar
user54321 behöver inte mer hjälp
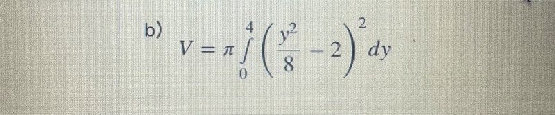
Volym och radie?
Hej jag förstår inte varför min radie är fel ?? Vad är det för fel på min metod ( jag har sett en annan metod med att man förskjuter kurvan men vill gärna förstå vad det är för fel på min lösning) 


Varför tror du att det är fel?
Yngve skrev:Varför tror du att det är fel?
Facit säger 
Det är samma sak eftersom
Yngve skrev:Det är samma sak eftersom
Jaha så har jag resonerat på rätt sätt om hur man beräknar radien?
Ja, ditt resonemang stämmer.