4 svar
266 visningar
Studenten06 behöver inte mer hjälp
Studenten06 267
Postad: 8 maj 21:57 Redigerad: 8 maj 21:58

Varför är min beräkning fel? Proton acceleration i elektrisk fält

 

Gällande b)

 

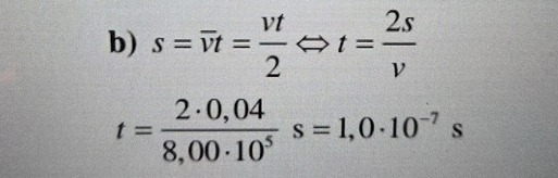
Men facit säger:

Studenten06 skrev:

Jag hänger inte med där.

Studenten06 267
Postad: 8 maj 22:14
Pieter Kuiper skrev:
Studenten06 skrev:

Jag hänger inte med där.

Spänning delat med sträcka är ju elektrisk fältstyrkan

Pieter Kuiper 9458 – Avstängd
Postad: 8 maj 22:32 Redigerad: 8 maj 22:34
Studenten06 skrev:

Spänning delat med sträcka är ju elektrisk fältstyrkan

Men spänningen var inte given. Så den hade du räknat ut i a) ? 
Och beloppet råkar vara samma som det givna värdet för hastigheten, av en slump?

Studenten06 267
Postad: 8 maj 22:50
Pieter Kuiper skrev:
Studenten06 skrev:

Spänning delat med sträcka är ju elektrisk fältstyrkan

Men spänningen var inte given. Så den hade du räknat ut i a) ? 
Och beloppet råkar vara samma som det givna värdet för hastigheten, av en slump?

Oj jag ser det nu. Tack.

Svara
Close