0
svar
105
visningar
destiny99 behöver inte mer hjälp
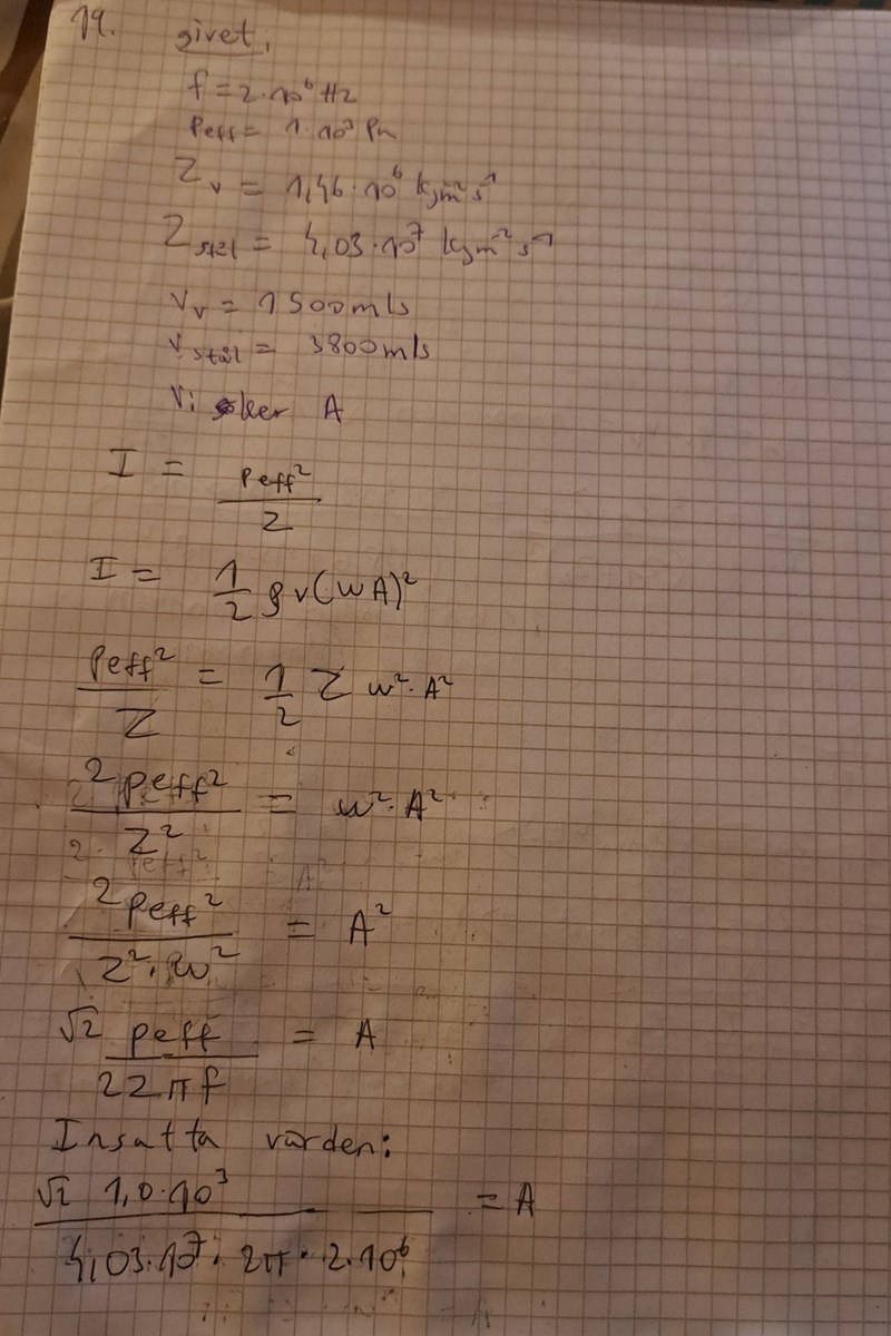
Vågens amplitud hos skrovet

.jpg?width=800&upscale=false)
Hej!
Jag fick värdet 2.7925*10^-12 m på räknaren ,men i facit fick de 5.4*10^-12 m. Vad är felet med min lösning?