vad är det jag missar?
Hej jag har försökt räkna ut följande fråga några gånger nu men alla mina svar blir orimliga. Sista gången kom jag närmast men Det känns fortfarande som att jag har gjort något fel. Jag kan bara inte hitta det. Jag hade varit väldigt tacksam om någon kunde kolla över min uträkning och eventuellt hitta felet jag inte ser.

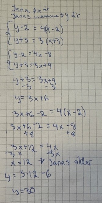
MIn uträkning:

Saken är den att jag får y till 30 men det är egentligen svaret på hur gammal mamman var när Jana föddes. Jah har räknat ut hur gammal hon är nu och då blir 30 år fel.
Tacksam för all hjälp!
Har nog bara blivit lite tokigt i slutet..
När du ska ta reda på y måste du ju sätta in ditt x värde i en av de ursprungliga funktionerna...
Säg tex att vi sätter in x=12 i den första så får vi ju
y-2=4(12-2)
y=4(12-2)+2
y=42
Och när Jana föddes, dvs för 12 år sedan borde ju mamman varit....
30! Tack för hjälpen. Det kändes som att det var något i slutet men jag visste bara inte var det gick fel.