Trippelintegral

Hej,
Deluppgiften va att ändra till cylindriska kordinater. Jag gjorde såhär 0<r<-2/3z+2 , 0 <theta <pi/2 och 0< z<3, Jag ser dock inte hur ordningen drd0dz skulle fungera då integralen län st ut inte ska innehålla några variabler för lösningen i bilden.
Någon som vet om det fortfarande stämmer.
Är inte helt säker på vad du frågar men tror jag förstår.
Gränserna skiljer sig mellan vad du har skrivit och vad som står i bilden. Dina gränser för r och z fungerar lika bra som de gränser som är i bilden. Det enda som skiljer är integrationsordningen och möjligtvis någon beräkning. Eftersom du har att r beror på z så behöver du integrera map. (med avseende på) r först för att sedan integrara map. z. I bilden har man istället gränser där z beror på r och då kommer man integrera map. z först och sedan r.
Du får skriva om jag har missuppfattat din fråga.
Lite konfunderad över denna.
Skall tydligen bli 9π/5 men
3 INT_0^3 (2/3(3-z))^3 dz INT_0^{π/2} sin(t)^2 dt = 9π/2
Finner inget direkt fel, men något fel gör jag...
Trinity2 skrev:Lite konfunderad över denna.
Skall tydligen bli 9π/5 men
3 INT_0^3 (2/3(3-z))^3 dz INT_0^{π/2} sin(t)^2 dt = 9π/2
Finner inget direkt fel, men något fel gör jag...
Vad ska bli 9pi/5? Integralen i bilden?
Lasse Vegas skrev:Trinity2 skrev:Lite konfunderad över denna.
Skall tydligen bli 9π/5 men
3 INT_0^3 (2/3(3-z))^3 dz INT_0^{π/2} sin(t)^2 dt = 9π/2
Finner inget direkt fel, men något fel gör jag...
Vad ska bli 9pi/5? Integralen i bilden?
ja, värdet på integralen
Lyckas få det till 9pi/5. Kan ju vara så simpelt som att du råkar räkna fel eftersom det blir en del siffror när man förenklar integralen map. r.
Lasse Vegas skrev:Lyckas få det till 9pi/5. Kan ju vara så simpelt som att du råkar räkna fel eftersom det blir en del siffror när man förenklar integralen map. r.
Har du en beräkning så jag kan se var jag spårar ur?
Fick du denna?

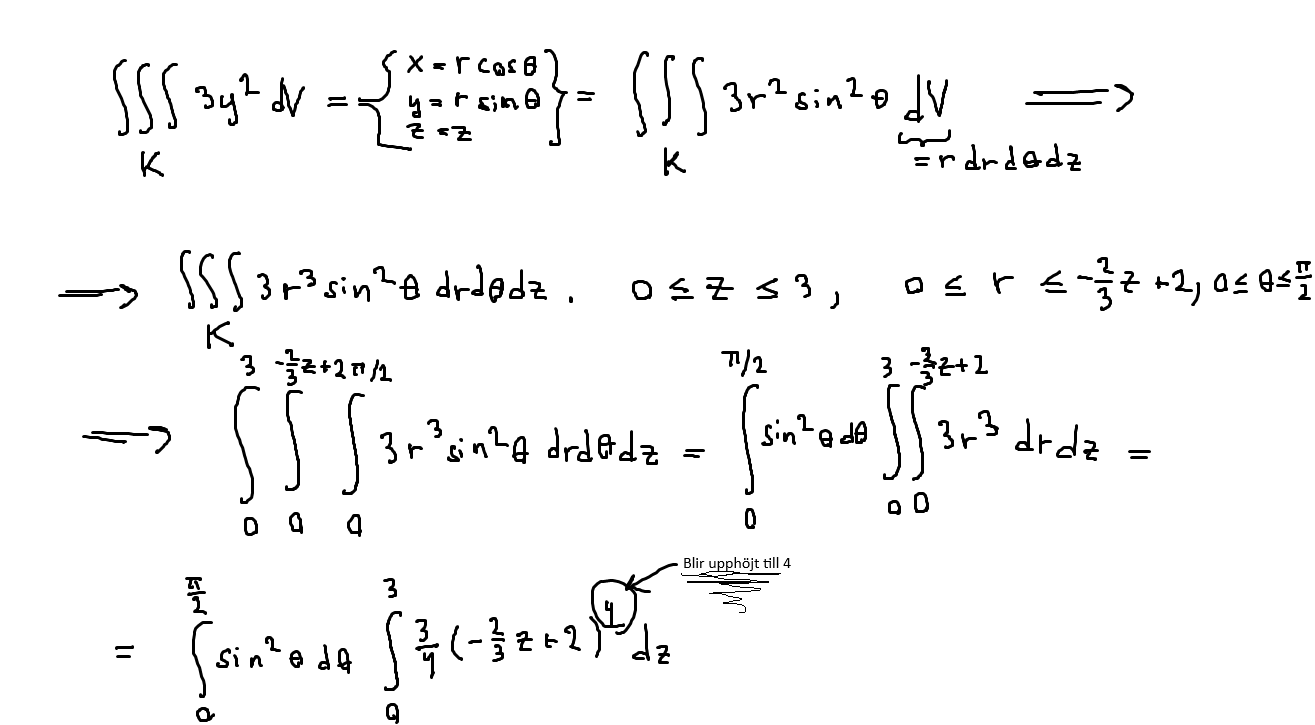
Din integral för z ser lite konstig ut. Det ska nog vara upphöjt till 4 i z-integralen eftersom det i r-integralen är r^3. Annars tror jag att det stämmer. Jag integrerade map. z först och beräkningen var mycket enklare då.
I den här integralen så ploppar det fram ett r ur volymelementet vilket ger r^3.
Lasse Vegas skrev:Din integral för z ser lite konstig ut. Det ska nog vara upphöjt till 4 i z-integralen eftersom det i r-integralen är r^3. Annars tror jag att det stämmer. Jag integrerade map. z först och beräkningen var mycket enklare då.
I den här integralen så ploppar det fram ett r ur volymelementet vilket ger r^3.
Men r är linjär i z, så varför skall det då vara ^4?
Volymelementet dV i det kartesiska koordinatsystemet är bara dV = dx dy dz, men när vi gör variabelbytet till cylindriska koordinater ändras volymelementet och blir istället dV = r dr dθ dz. Det extra r:et gör att vi får en r^3-term innan integrationen.
Lasse Vegas skrev:Volymelementet dV i det kartesiska koordinatsystemet är bara dV = dx dy dz, men när vi gör variabelbytet till cylindriska koordinater ändras volymelementet och blir istället dV = r dr dθ dz. Det extra r:et gör att vi får en r^3-term innan integrationen.
Kan du visa dina räkningar?
Trinity2 skrev:Lasse Vegas skrev:Volymelementet dV i det kartesiska koordinatsystemet är bara dV = dx dy dz, men när vi gör variabelbytet till cylindriska koordinater ändras volymelementet och blir istället dV = r dr dθ dz. Det extra r:et gör att vi får en r^3-term innan integrationen.
Kan du visa dina räkningar?

Mkt. bra. Det förklarade min miss. Slarvigt!
I den här integralen så ploppar det fram ett r ur volymelementet vilket ger r^3.