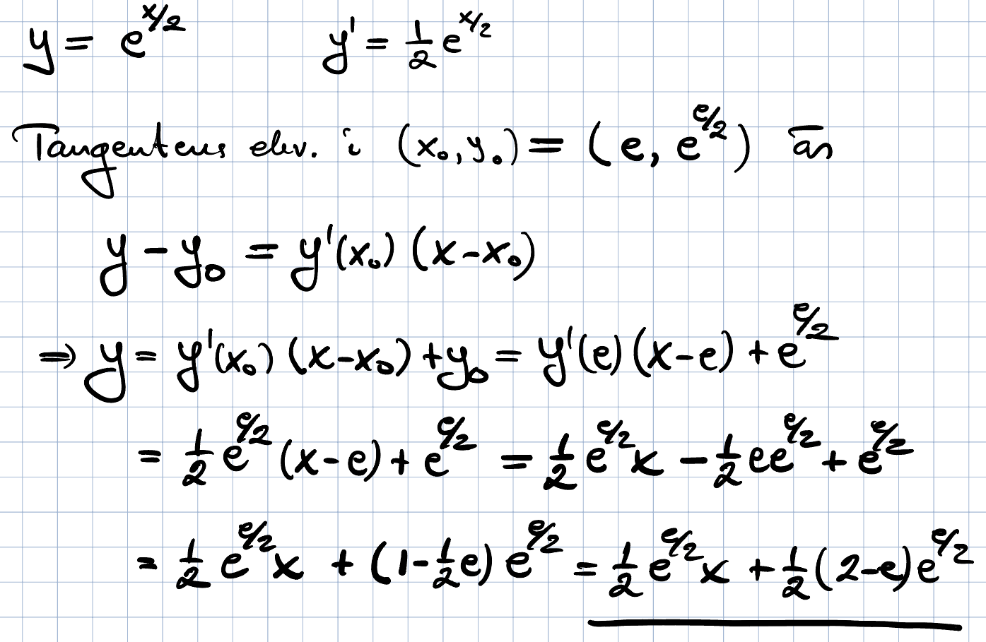
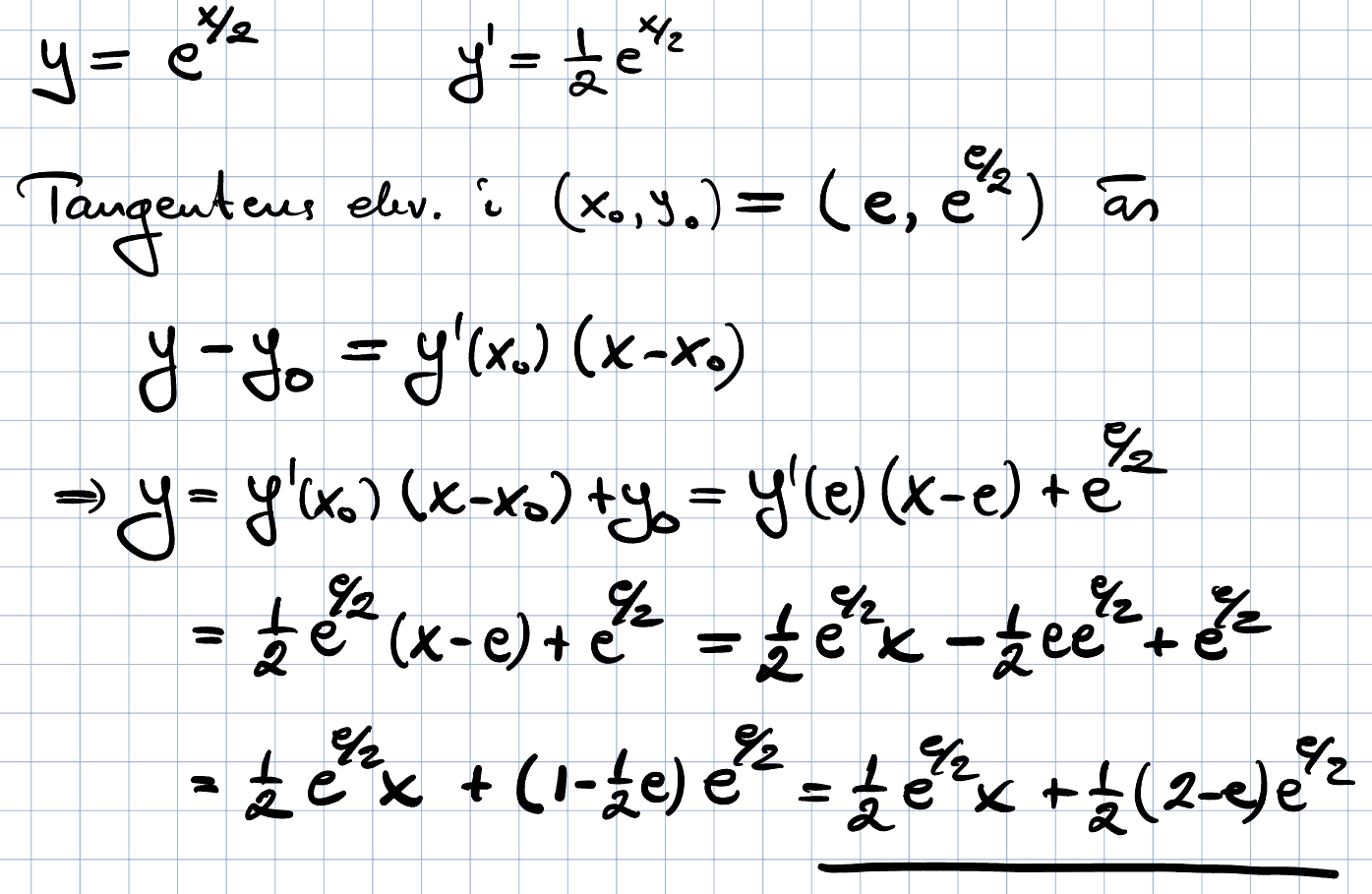
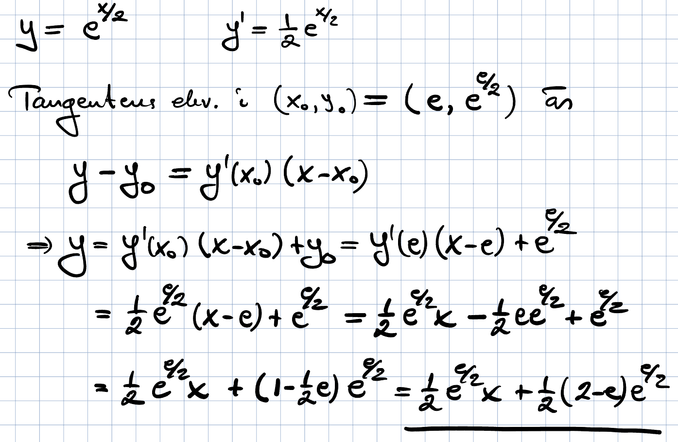
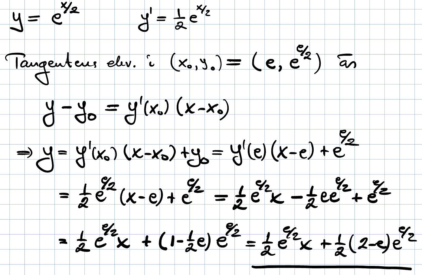
Tangentens ekvation
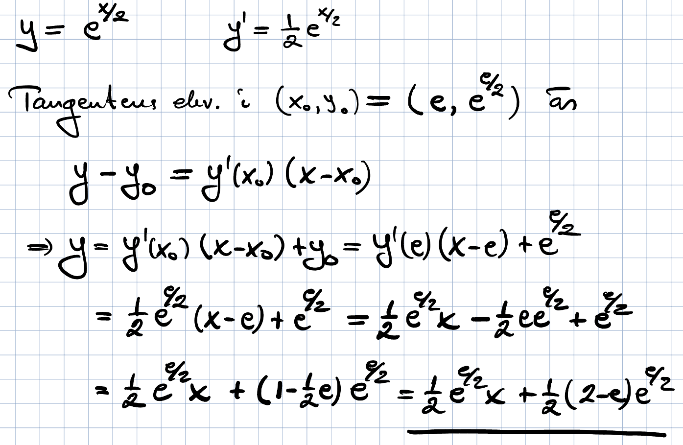
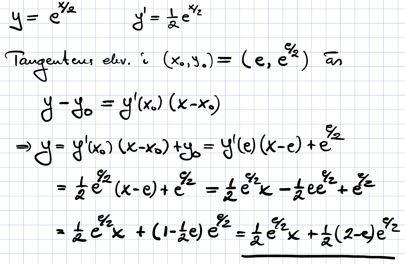
Visa att tangentens ekvation till y=e^(x/2), då x=e, är y=1/2e^e/2(x+2-e).
Hittills har jag visat att y'= 1/2*e^x/2 y'(e)=1/2*e^e/2
K=1/2*e^x/2
Vi vet att tangenten måste gå igenom punkten (x,f(x))
X=e
F(e)=e^(e/2)
Jag söker m-värdet så jag satt upp en ekvation:
e^(e/2)=1/2 * e^(e/2) *e + m
m= e^(e/2) - 1/2 * e^(e/2) *e
m= e^(e/2) (1 - 1/2*e)
Löste ut m, funktionen blir:
y= e^(e/2) * (x) + e^(e/2) + e^(e/2) (1 - 1/2*e)
Men jag lyckas inte få samma funktion som det står i frågan. Jag vet inte ens om det jag är på rätt spår.
Tack i förhand.
Trinity2 skrev:
Svaret ska vara y= 1/2^(e/2) * (x+2−e)
ShahadElw skrev:Trinity2 skrev:
Svaret ska vara y= 1/2^(e/2) * (x+2−e)
Samma sak. Svara ni inte på k-form?
Trinity2 skrev:ShahadElw skrev:Trinity2 skrev:
Svaret ska vara y= 1/2^(e/2) * (x+2−e)
Samma sak. Svara ni inte på k-form?
Vad menar du?
Trinity2 skrev:ShahadElw skrev:Trinity2 skrev:
Svaret ska vara y= 1/2^(e/2) * (x+2−e)
Samma sak. Svara ni inte på k-form?
Kan du förklara uppgiften igen för att jag fattar inte
ShahadElw skrev:Trinity2 skrev:ShahadElw skrev:Trinity2 skrev:
Svaret ska vara y= 1/2^(e/2) * (x+2−e)
Samma sak. Svara ni inte på k-form?
Kan du förklara uppgiften igen för att jag fattar inte
Bryt ut den gemensamma faktorn






