0
svar
204
visningar
L_RForAM behöver inte mer hjälp
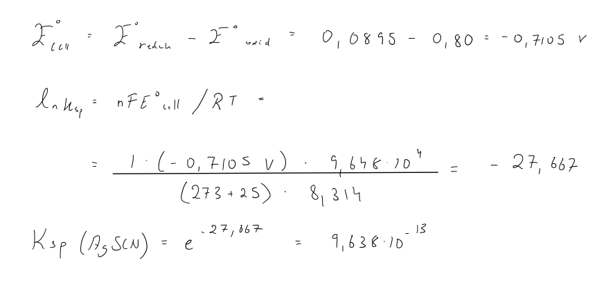
Standardpotential för reduktion av AgSCN(s)
Frågan är: Standardpotentialen för reduktion av AgSCN(s) är
(R1) AgSCN (s) + e- → Ag (s) + SCN- (aq) E°(R1) = +0,0895 V
En annan standardhalvcellsreaktion är (R2) Ag+ (aq) + e- → Ag (s) E°(R2) = 0,80 V
Använd dessa data för att beräkna Ksp för AgSCN och jämför den med tabelldata:
(Ksp(AgSCN) = 1,03 x 10-12
Mitt svar:

Har jag tänkt rätt här? För mitt värde skiljer sig från tabell värdet 1,03*10-12 > 9,638*10-13
Tack för hjälp!