1
svar
115
visningar
teknikomatte behöver inte mer hjälp
Poyntings vektor - Elektrodynamik
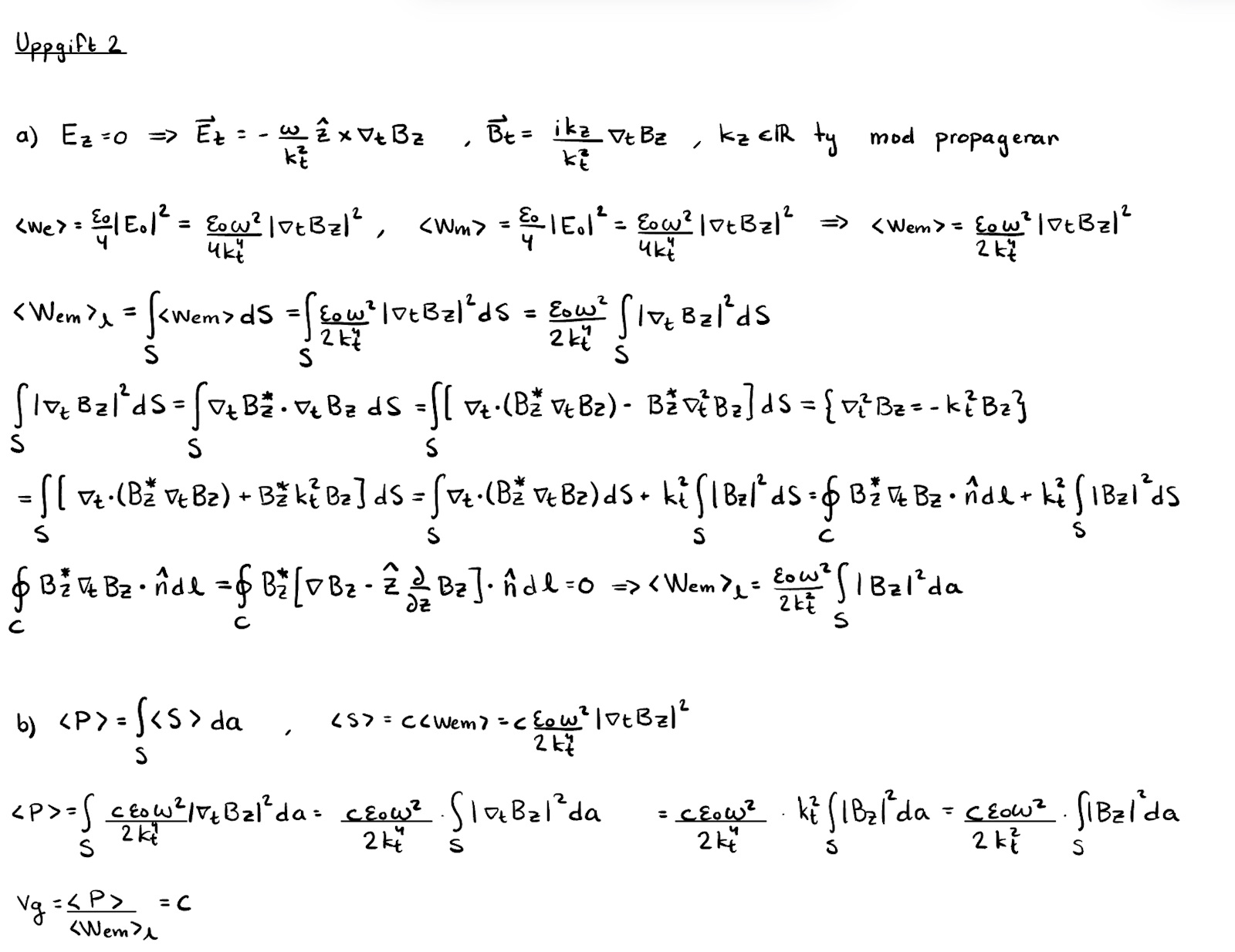
Hej! Jag skulle behöva hjälp med uppgift b.
Såhär gjorde jag :

Detta ger att energitransporthastigheten blir c, men detta är fel.
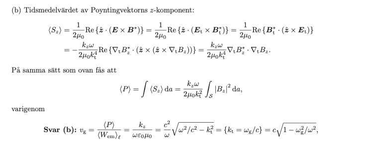
Facit:

Det som verkar skilja sig är hur de har bestämt Poyntings vektor. Jag använde uttrycket nedan, som är givet i föreläsningsanteckningarna. Varför går det ej?

teknikomatte skrev:Det som verkar skilja sig är hur de har bestämt Poyntings vektor. Jag använde uttrycket nedan, som är givet i föreläsningsanteckningarna. Varför går det ej?
Det är nog för vågor i free space. Här är det en vågledare. Där är våghastigheten inte lika med c0. (Det är också ungefär allt som jag kommer ihåg om vågledare...)
