1
svar
207
visningar
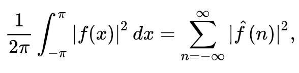
Parsevals relation
Vet inte riktigt hur jag kan utveckla kvadraten med integralen nedan. Perioden för x(t) verkar vara pi, men hur visar jag detta?
Tillägg: Kanske borde använda mig utav att och ?

Utgå från

https://en.wikipedia.org/wiki/Parseval%27s_identity
där f^är dina a_k och f(t) = x(t)
Du skall då endast beräkna VL vilket inte är så svårt.