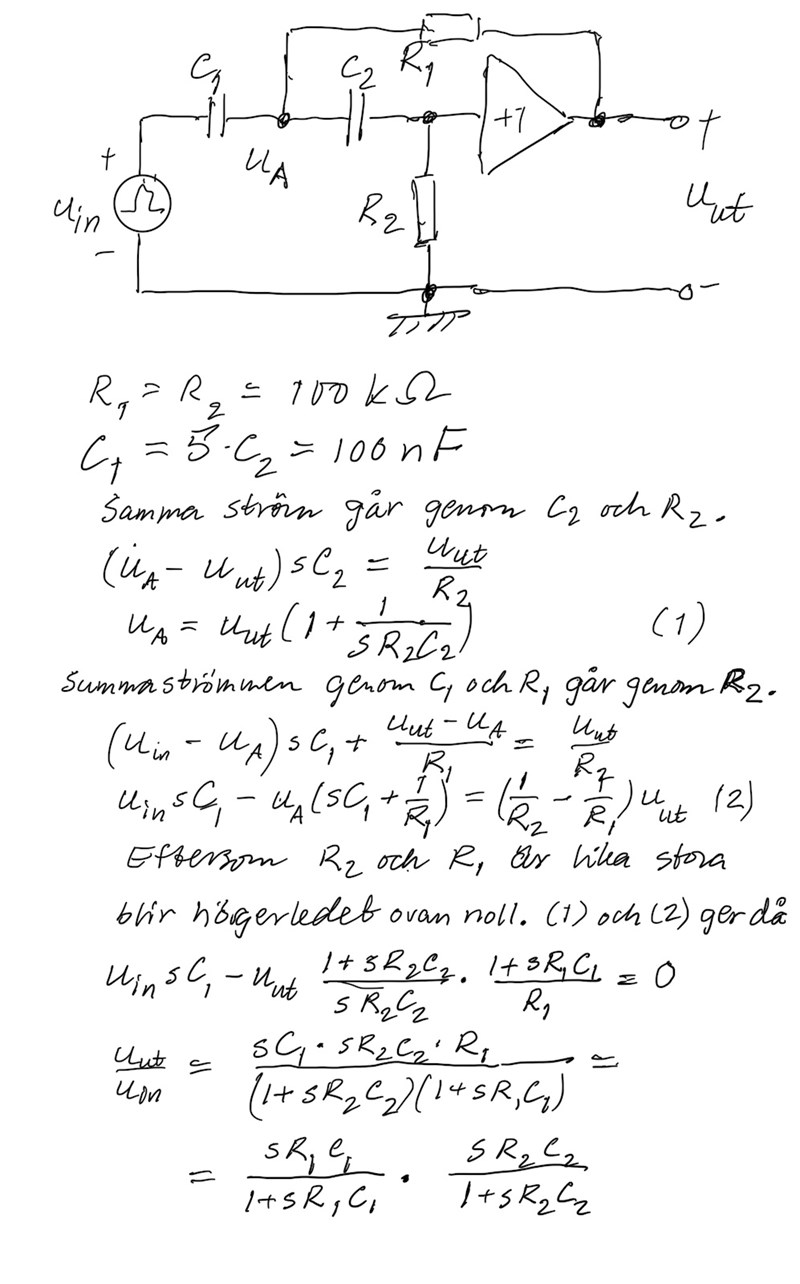
Op med endast en igång
Hej. Behöver hjälp att komma igång med denna uppgiften. Har aldrig tidigare sett endast en ingång på OPn samt att det står något som "+1" inom den. Tänker att jag ska börja med att ta fram överföringsfunktionen, och detta genom nodanalys. Har fått fram ekvation (1) och (2) nedan, om jag löser för uut/uin kommer jag få ett uttryck som beror på antingen va eller vb. Antar att "+1" på något sätt kommer lösa detta men har ingen aning då jag aldrig sett detta förut. Tacksam för hjälp.

Det är en följare. En buffer.
Pieter Kuiper skrev:Det är en följare. En buffer.
Ok, vad betyder det för beräkningarna? är Vb=+1?
Cien skrev:Pieter Kuiper skrev:Det är en följare. En buffer.
Ok, vad betyder det för beräkningarna? är Vb=+1?
Nej, det betyder att utgången följer ingången, att uut = +1 × Vb= Vb, att förstärkningen är +1.
Kan realiseras såhär:
Eller kan köpas som komponent.
Pieter Kuiper skrev:Cien skrev:Pieter Kuiper skrev:Det är en följare. En buffer.
Ok, vad betyder det för beräkningarna? är Vb=+1?
Nej, det betyder att utgången följer ingången, att uut = +1 × Vb= Vb, att förstärkningen är +1.
Kan realiseras såhär:Eller kan köpas som komponent.
Okej då är jag med, så jag kan göra nodanalys och sätta vb=1 helt enkelt
Har kört fast. Vill uttrycka överföringsfunktionen på Bodeform, sedan ta fram undre gränsfrekvenser för att kunna uttrycka pulsfallet.
Ett räknefel, tror jag:

Vet inte om detta räcker. Om du ska få fram gränsfrekvenser, är det inte då bättre att använda jw ?
Jag får en lite enklare överföringsfunktion än den du fått. Bäst att du kollar om jag missat något väsentligt.

Jan Ragnar skrev:Jag får en lite enklare överföringsfunktion än den du fått. Bäst att du kollar om jag missat något väsentligt.
Tack så jättemycket för lösningen! det verkar vara rätt. Om jag uttrycker det med H(s)=H(jw) så stämmer undre gränsfrekvenserna w1=100 rad/s och w2=500 rad/s. Tack återigen!
Jan Ragnar skrev:Jag får en lite enklare överföringsfunktion än den du fått. Bäst att du kollar om jag missat något väsentligt.
Om jag förstår rätt så är potentialen mellan C2 och R2 lika med uut? med samma argument som Pieter i post #4 talade för?
Japp, precis så.
ThomasN skrev:Japp, precis så.
Ville inte skapa en ny tråd och undrar bara om vi på samma sätt har att uo=AVa?
Stämmer bra.
Eller kan köpas som komponent.