2
svar
235
visningar
Hussin behöver inte mer hjälp
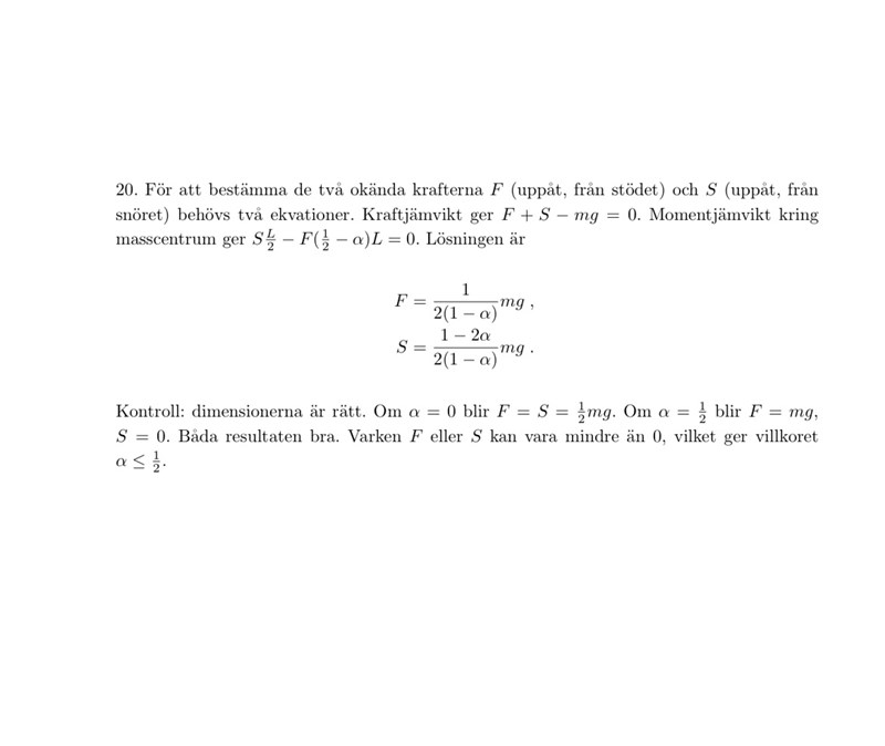
MaFy 2022 uppgift 20


Hej jag behöver hjälp att förstå varför jag får fel om jag räknar att momentpunkten ligger vid punkt A.
Jag har inte kollat hela din lösning, men här räknar du som om kraften vid stödet C vore nedåtriktad:

Ahh nu ser jag, tack för hjälpen