2
svar
233
visningar
ingriddnwn behöver inte mer hjälp
lös ekvation matte 2c
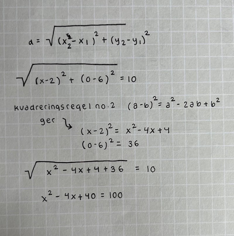
Det här är uppgiften och min början till lösning;


Men hur löser jag x2-4x+40=100?
Tydligen ska man kunna använda PQ-formeln, men jag har helt glömt bort hur den fungerar eftersom det var länge sedan vi jobbade med den och den ingår egentligen inte i det här kapitlet.
Hur löser man det? Om det är med PQ-formeln, förklara gärna varför man gör som man gör?
Tacksam för svar!💗
pq formeln säger att lösningarna till ekvationen
är
och
Kan du skriva om din ekvation så att den ser ut som ?
Om det är med PQ-formeln, förklara gärna varför man gör som man gör?
Menar du då varför PQ-formeln fungerar?
Åh nu förstår jag!
Tack så jättemycket för hjälpen!!