Längd av en spiral
Spiralen i figuren går runt origo oändligt många gånger och alla vinklar i den är räta. Beräkna hur lång spiralen är.
Detta är en uppgift från min läxförhör om geometrisk summa och linjär optimering och jag ser att det finns en rätt linje med två punkter (0,3) och (4,0) men jag förstår inte riktigt hur jag ska börja lösa den.
Börja med att försöka beräkna längden av de första "benen" i spiralen. Försök att se ett samband mellan dessa. Tänk geometrisk summa.
Yngve skrev:Börja med att försöka beräkna längden av de första "benen" i spiralen. Försök att se ett samband mellan dessa. Tänk geometrisk summa.
Jag beräknade med pythagoras sats att c=5 eftersom jag tänkte på att det är en rätvinklig triangel. Stämmer det att det första talet i det geometriska summan blir också 5?
Ja, den längden stämmer.
Hur ser det ut sen?

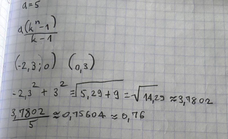
Jag gör samma på andra triangeln med punkten B (0,3) och C. Kan jag ta ett ungefärligt värde på punkten C så här (-2,3 ; 0)? Osäker på vad nästa steget är.
cygnostik00 skrev:
Jag gör samma på andra triangeln med punkten B (0,3) och C. Kan jag ta ett ungefärligt värde på punkten C så här (-2,3 ; 0)? Osäker på vad nästa steget är.
Låt O = Origo
Vad kan du säga om trianglarna AOB och BOC?
cygnostik00 skrev:[...]
Kan jag ta ett ungefärligt värde på punkten C så här (-2,3 ; 0)?
[...]
Nej, du bör ta fram ett exakt värde på x-koordinaten för C.
Använd t.ex. att CB är vinkelrät mot BA och att riktningskoefficienten för BA är -3/4.