Lagrange metoden

Hej!
jag försöker bestämma max och min på denna uppgift mha lagrange metoden men det verkar inte gå så bra. Jag får aldrig ut ett värde på skalären lambda eller x som ni ser. Vad ska jag göra annorlunda?

Om du frigör lambda från 1) och 2) kan du likställa dessa samband med varandra. Tillsammans med ekvation 3) har du 2 ekvationer och 2 obekanta (x och y) som du nu kan lösa ut.
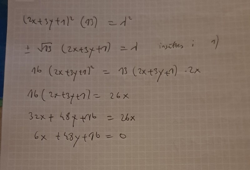
Så här gjorde jag. Hoppas det är rätt räknat

Dvs översta ekv mult med 3 och nästa med 2. Då kunde en massa termer subtraheras bort
Calle_K skrev:Om du frigör lambda från 1) och 2) kan du likställa dessa samband med varandra. Tillsammans med ekvation 3) har du 2 ekvationer och 2 obekanta (x och y) som du nu kan lösa ut.
Såhär fick jag. Låter det rimligt?

Lyckades lösa den!!
Du kan jämföra med mitt svar
x = –2y/3 ger
4y2/9 + y2 = 1
y2 = 9/13, x2 = 4/13 osv
Marilyn skrev:Du kan jämföra med mitt svar
x = –2y/3 ger
4y2/9 + y2 = 1
y2 = 9/13, x2 = 4/13 osv
Jo jag gjorde rätt och fick som dig till slut. Tack för hjälpen!
Det tog tid innan jag fattade metoden.
Grejen är att gradienterna till f och g ska peka åt samma (eller rakt motsatt) håll. Omatematiskt uttryckt, men ett stöd för tanken.
Marilyn skrev:Det tog tid innan jag fattade metoden.
Grejen är att gradienterna till f och g ska peka åt samma (eller rakt motsatt) håll. Omatematiskt uttryckt, men ett stöd för tanken.
Jo jag vet det var det var därför jag införde lambda lika med gradienten av g(x,y)=x^2+y^2-1=0
Fast jag tror visst att jag gjorde ett teckenfel när jag subtraherade ekvationerna
Rad 7 (#3) ska nog bli –3x+2y = 0. Isåfall har extrempunkterna samma tecken för x- och y-koordinaterna.
Marilyn skrev:Fast jag tror visst att jag gjorde ett teckenfel när jag subtraherade ekvationerna
Rad 7 (#3) ska nog bli –3x+2y = 0. Isåfall har extrempunkterna samma tecken för x- och y-koordinaterna.
Du borde få 3x-2y=0
Ja, det är såklart samma sak, men på fotot står det fel.