Kretsanalys (Karlström) uppgift 4.13 Maskanalys
Skulle behöva lite vägledning i hur man har löst denna uppgift för att få fram ia = -0,25 A samt ib = -0,5. Bifogar ett av mina lösningsförsök... Jag har testat att definiera polariteten över resistorerna på olika sätt men kommer inte fram till samma svar som i facit. Uppgiften fokuserar på maskanalys.



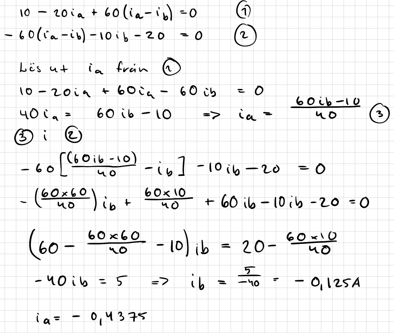
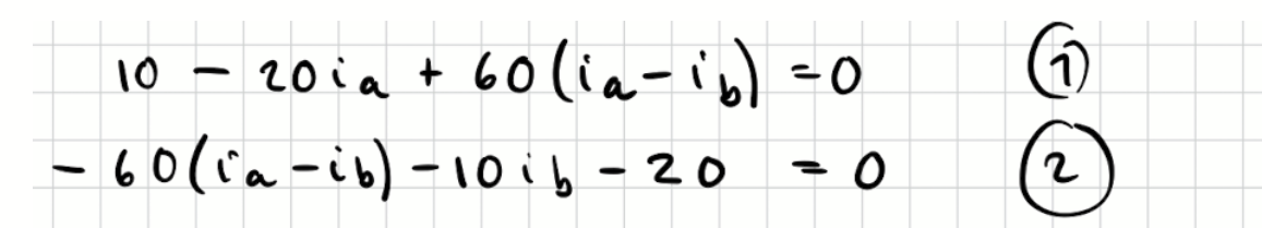
Med de riktningarna på maskströmmarna vill jag har detta till:
Tack, detta ger samma svar som facit. Hur resonerar du kring riktningen på ib och ia över resistorn med 60 ohm? Boken ger ingen explicit förklaring, och i en liknande uppgift har man ställt upp skillnaderna på samma sätt som jag gjorde i mitt första försök. Förstår inte riktigt hur man ska tänka här.
Rent sponant tänker jag: I mitt fall är strömmen över 60-ohm resistorn är riktad uppåt och går i samma riktning som ib. Därav borde strömmen upp (över 60-ohm resistorn) vara (ib - ia). För den första maskan (ia) så går man i "motsatt riktning" över resistorn, och strömmen blir därför - (ib - ia) = (ia - ib). För den andra maskan så går man i "rätt" riktning, och strömmen blir (ib - ia). Detta blir dock inte rätt - och är motsatsen till ditt förslag om jag ser det rätt.
Jag tänker så här:
När man går med en ström går man mot en lägre potential, tvärt om om man går mot strömmen.
När vi går runt i vänstra maskan går vi med ia genom 60-ohmaren och får vi potentialskillnad -60ia och mot strömmen ib, som ger +60ib.
Låter det vettigt?