7
svar
273
visningar
Kedjeregeln, produktregeln eller kvotregel
Hejsan
skulle behöva ha lite hjälp.
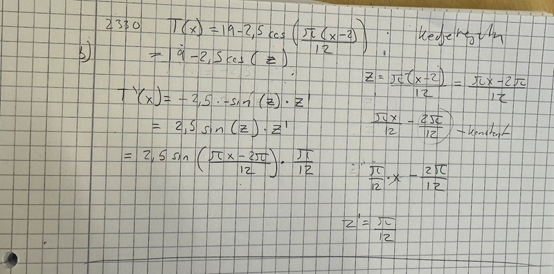
har lite svårt att se vilken regel att tillämpa på och hur b)
Det gäller att titta på var variabeln är och vad som är i dess omgivning. I detta fall ser vi att x är inuti en cosinusfunktion. Därför behöver vi använda kedjeregeln. Den inre funktionen innehåller bara ett x alltså inget bråk av flera x eller ingen produkt av flera x, och således behövs ingen produkt- eller kvotregel.
z' ska vara utanför sinusfunktionen, annars ser det bra ut.
Men använd gärna samma metod met omskrivningar av inre funktion som jag beskrev I detta svar, så blir din redovisning tydligare.



