1
svar
272
visningar
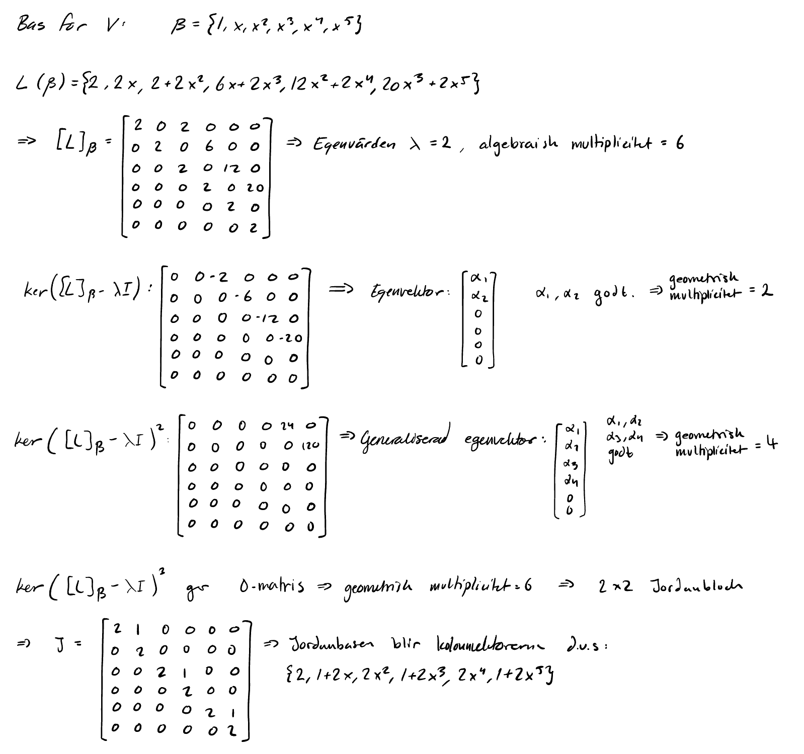
Jag tror inte det sista steget där du säger att Jordanbasen ges av kolonnerna i J stämmer. Är det inte meningen att du ska hitta en bas för (egenvektorer) och sedan hitta generaliserade egenvektorer som tillsammans med de riktiga egenvektorerna bildar Jordanbasen?
Tillägg: 7 mar 2025 19:05
Om så är kolonnvektorerna i en Jordanbas bas för .
