Integration by parts-vart går det fel…?
hej jag försöker lösa en uppgift nedan kan ni se mitt försök och uppgiften är lägst upp till vänster!

jag förstår inte vad det är som blir fel…

Här skall det vara 3, inte 2.
Din metod är rätt, man får "nysta sig ner" eller par gånger med P.I.
Måste rusa, kanske någon annan kan ta vid. Annars kollar jag senare i kväll på det.
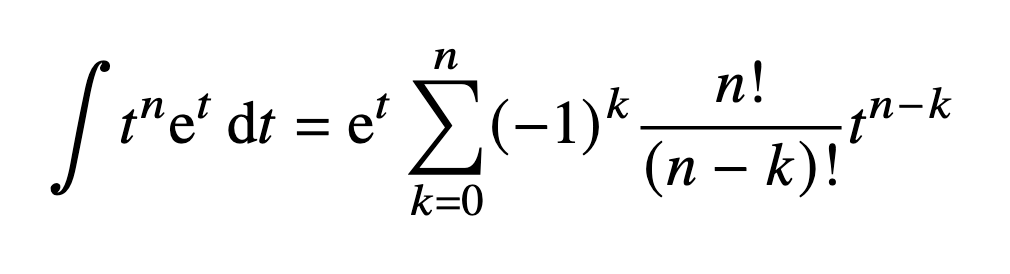
Det här:

stämmer inte. Att dividera med inre derivatan funkar endast ifall inre funktionen är linjär, vilket inte är.
Du får gärna kontrollera m.h.a. produkt- och kedjeregeln att inte är primitiv till .
Jag skulle starkt rekommendera att du gör variabelbyte i början, för att bli av med kvadratroten i exponenten. Först efter variabelbytet får du partiellintegrera.
Variabelbyte: (där ) ger , så .
En lämplig övning kan vara att visa
