Hur ska jag tänka när jag tillämpar D.E?

Hej! Har problem med frågor gällande hur man ska tänka när man ställer upp D.E. Förstår inte riktigt exemplen i boken och min lärare har knappt haft genomgångar om ämnet. Har inte heller tid att fråga honom då vi har prov imorgon. Bifogar två uppgifter så ni förstår vilka typer det gäller.
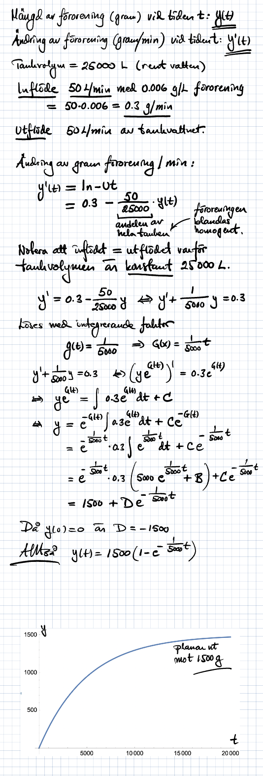
Tack Trinity för en sjukt utförlig förklaring. Hade lite svårt att se sambanden mellan diff.ekvationer och att faktiskt tillämpa dem, men nu känns det som om polletten äntligen börjar trilla ner. Återigen tack för hjälpen :)
Noah123 skrev:Tack Trinity för en sjukt utförlig förklaring. Hade lite svårt att se sambanden mellan diff.ekvationer och att faktiskt tillämpa dem, men nu känns det som om polletten äntligen börjar trilla ner. Återigen tack för hjälpen :)
Toppen! Lycka till imorgon.

