Ge rimligt värde till cos i
Hej,
Jag undrar hur man ger ett rimligt värde åt cos i med eulers formel.
Facit säger (e^-1 + e) / 2.
Förstår inte hur det går till riktigt.
Hur kan man uttrycka cos(x) enligt Eulers formler?
(Är det förresten cos(i) man vill hitta värdet på?)
Ja, det stämmer. Man gör enligt bild.

Snyggt! Nu är det ju bara att stoppa in .
Nja, hur då menar du?
Jaha. I första där ja, Okej. Jo. Jag ser det...
Men om man vill stoppa i ndet i HL då, hur skulle man ha tänkt då? Jag tänker att i där inte är rimligt och måste skrivas om som en vinkel istället..
HL är ju cos() som du förenklat. Det blir samma förenkling om du stoppar in direkt.
Jo, okej.
Men vad är det man har angett egentligen? Hur många radianer det går på Cosi?
Vad cosinus antar för värde för vinkeln .
Hur kan i rimligtvis vara en vinkel..
De imaginära talen är lite skumma. Just nu får du nog bara köpa det tyvärr. Men för komplexa tal tappar de trigonometriska funktionernas argument sin geometriska tolkning som vinklar, tror jag. De övergår till de hyperboliska funktionerna.
Matte är skumt.
Tack.
Inte skummare än Trumps handelspolitik. Men ja, det kan vara skumt.
En bättre fråga är varför man inte skulle kunna bestämma ? Jag förstår inte vad som är skumt med det.
För att inte kan tolkas som en vinkel på samma sätt. Vart skulle du sätta den på enhetscirkeln, exempelvis?
Det finns inget som säger att argumentet måste vara en vinkel. Det hela handlar om hur man definierar funktionen. För att stödja komplexa tal kör man oftast på definitionen nedan, för :
Om sammanfaller definitionen med det vi är vana vid.
Jag känner till definitionen, men det är långt ifrån uppenbart att trig-funktionerna skulle vara definierade för komplexa tal och kunna anges som en summa av exponentialfunktionen, ty mitt förtydligande.
TS angav ju själv definitionen i en bild så jag antog att han utgick från den också.
Men ”uppenbart” tycker jag inte heller att det är. Det är bara en definition. Det är egentligen lika ”uppenbart” som att . Man har bara bestämt att det är så, som med all matematik.
Vad är problemet med vinkel?
i är ingen vinkel, däremot har i beloppet 1 och argumentet 90°
cos i har beloppet (e2+1)/(2e) ≈ 1,54 och argumentet 0.
Vad menar du Marilyn?
MrPotatohead skrev:Vad menar du Marilyn?
Bra fråga. Försökte bara kasta ljus över det ”skumma” i att cos (i) skulle ha ett värde.
Att det inte är något konstigt i att en funktion med komplex input får en komplex outp.
Först definierar man cos på rätvinkliga trianglar, sedan på enhetscirkeln, och nu på komplexa tal.
Konstigare var det inte.
Oklar "diskussion" detta. Om man ens kan kalla det.
Har man blivit van vid det "skumma" med att att det finns tal för roten ur ett negativt tal så är det ju självklart att man om allt med komplexa tal bara kan säga: "Inget konstigt med det. Det är ju jättelogiskt." Det jag ville ha sagt, vilket uppenbarligen var ganska otydligt, är att det i början kan kännas skumt. Man kan väl vara glad över att man själv lyckats ta sig förbi "skumhetskänslan" utan att se det som en omöjlighet att andra inte har det. Det var inte mer än så.
Jag tror du missförstår vad Marilyn försökte uttrycka (såvida inte jag missförstår det också). Det handlar inte om att "det här minsann var så himla uppenbart din idiot", utan bara om att visa att det inte är så konstigt egentligen. Komplexa tal kan kännas väldigt konstiga eller "mindre verkliga" till en början men då är det viktigt att erinra sig om att komplexa tal, precis som de reella talen, de rationella talen eller vilka andra tal som helst bara är mänskliga påhitt. De är alltså inte konstigare än något annat man tar för givet i matematiken.
Den tanken kan ge lite ro och framför allt hjälpa till i förståelsen.
Jo, men det var lite min andra tolkning av vad ni ville säga.😅
Ni sammanfattar vad jag försökte uttrycka.
Som nån sa, matematik förstår man inte. Men man vänjer sig.
Som kommer ifrån mannen som förstod allt, lustigt nog. Kanske gör det värt att ta till sig då.
Det är en definition men det känns inte särskilt välmotiverat utöver att utgå ifrån cos omskriven med exp funktionen där. Men det var inte överdrivet viktigt från min sida, jag är van med att inte begripa.
jag är van med att inte begripa.
Det är vi alla!
Det är en definition men det känns inte särskilt välmotiverat utöver att utgå ifrån cos omskriven med exp funktionen där.
Det är ju en utvidgning av en funktion vi redan känner till. Det viktiga är att den sammanfaller med den gängse definitionen då . Sedan har man valt att definiera funktionen på detta sätt eftersom den då får trevliga egenskaper.
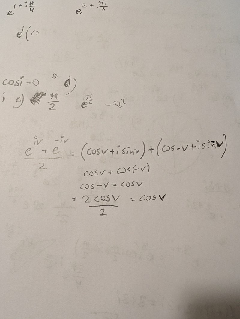
Det vi vill är att vår funktion ska fortsätta uppfylla de fina egenskaper vi redan känner till, exempelvis Eulers identitet. Utan att veta exakt vad ska betyda för komplexa kan vi leka lite med tanken. Vi utgår ifrån Eulers identitet:
Vi skulle ju naturligtvis även kunna säga att:
Om vi lägger ihop dessa uttryck får vi:
Detta innebär med andra ord:
Detta tar vi då alltså som definition, eftersom den (1) sammanfaller med den vanliga definitionen då och (2) uppfyller de fina egenskaper vi redan känner till även då har en nollskild imaginärdel.
Men resonemanget i #27 lutar lite mer åt det heuristiska hållet. Vill man göra det riktigt rigoröst kan man göra så här:
Börja med att definiera för som:
Sedan bestämmer vi att:
Efter detta visar vi utifrån våra definitioner att (1) definitionen sammanfaller med den gängse för och (2) att de identiteter och egenskaper vi känner till håller även för denna definiton. Ett exempel på sådana egenskaper skulle kunna vara att eller att .
Det ska däremot inte sägas att detta är den enda utvidgningen som är möjlig, ty det finns oändligt många möjliga utvidgningar man skulle kunna göra. Däremot är det en bra utvidgning eftersom den liknar den vanliga definitionen väldigt mycket. Om den hade sammanfallit med den vanliga definitionen för men haft helt andra egenskaper för komplexa med nollskild imaginärdel hade det antagligen varit en rätt kass utvidgning.
Yes. Det får accepteras.
Det borde finnas en utvidgning från komplexa tal som beskriver tal/punkter/vektorer i ett 3 dimensionell plan. Känns lite begränsat med ett 2 dimensionellt plan. Om i är laterala tal borde man även ha något som beskriver en axel som går innåt.
Du behöver inte vara orolig. Smarta människor är smartare än man tror. Det finns fruktansvärt mycket man kan göra med komplexa tal, på gott och ont.
Jag är faktiskt halvt intresserad av komplex analys. Men det är så oerhört tidskrävande att hålla på med det här så jag vet inte.
Har boken "visual complex analysis" av Tristan Needham, som ska vara väldigt bra. Förstår dock ingenting som står där men, bra att ha sen kanske.
Dkcre skrev:Yes. Det får accepteras.
Det borde finnas en utvidgning från komplexa tal som beskriver tal/punkter/vektorer i ett 3 dimensionell plan. Känns lite begränsat med ett 2 dimensionellt plan. Om i är laterala tal borde man även ha något som beskriver en axel som går innåt.
Nej, det gör det inte.
En polynomekvation med heltalskoefficienter kan ha lösningar som inte är heltal, en ekv med reella koeff kan ha lösn som inte är reella
MEN
en ekv med komplexa koeff har endast komplexa rötter. Så de komplexa talen är i någon mening en ”sluten” mängd.
Sedan finns INGA fler slutna mängder i hela universum
UTOM
Kvaternionerna. Om a, b, c, d är reella så är a+bí+cj+dk en kvaternion. Hamilton hittade på dem. Genombrottet var när han satte i2 = j2 = k2 = ijk = –1. Kvaternionerna är högst användbara i någon del av fysiken. De är luriga för (uv)w = u(vw) men uv = –vu.
Men tre– eller sjuttondimensionella slutna talmängder existerar inte.
OBS! VARNING!!. Detta berättade en föreläsare för hundra år sedan, jag förstod inte så mycket, och har glömt det mesta, så det kan vara fel i det jag skriver. Kolla innan ni vill imponera på kompisar i baren eller på bibblan.
Jo, just det. Har sett en video om dem förut, verkar lite knöligt 🙂
Det som Marilyn nämner angående "slutenhet" kallas för algebraisk slutenhet.
En kropp är en särskild typ av mängd som uppfyller kroppsaxiomen, och vanliga exempel på kroppar är de reella talen och de komplexa talen .
Låt beteckna en polynomring över (i princip mängden av alla polynom med koefficienter ur ). I så fall är mängden algebraiskt sluten om och endast om varje polynom har ett nollställe i .
Om ser vi att detta inte är sant, ty det finns med komplexa nollställen, alltså nollställen utanför .
Om ser vi däremot att detta är sant. Algebrans fundamentalsats garanterar att alla polynom med komplexa koefficienter har minst ett komplext nollställe. Detta får konsekvensen att ALLA rötter måste ligga i !
Skiss på bevis:
Låt . Då garanterar algebrans fundamentalsats att det finns minst ett komplext nollställe , och faktorsatsen säger då att:
för något polynom .
Om är icke-konstant kan vi tillämpa algebrans fundamentalsats och faktoratsen igen för nästa nollställe :
för något
Om vi upprepar denna procedur inser vi till slut att ALLA nollställen till polynomet kommer vara komplexa, alltså har vi:
, där .
Det jag ville komma fram till är att detta var ett av huvudargumenten för att införa komplexa tal överhuvudtaget. Algebraisk slutenhet är rätt nice.
OBS: notationen innebär i prinicp "mängden av alla polynom med koeffcienter ur FÖRUTOM alla konstanter".
Det jag ville komma fram till var att det var något speciellt med de komplexa talen och kvarternionerna som gjorde dem unika. Detta är som sagt inget jag pluggat eller tenterat, utan bara en marginalkommentar under en föreläsning, men det var något med att det inte existerar några tre- eller trehundradimensionella tal med motsvarande slutenhet.
Någon som vet om jag missförstått?
F ö har 3blue1brown gjort filmer om kvarternioner. Dem ska jag titta på vid tillfälle.
Jag har något vagt minne om någon Hurwitzs sats men jag är verkligen ingen expert på detta.
Jag har ingen aning om vad du har skrivit men det låter väl rimligt.
😂
Det är helt OK. Jag förstår att det kan vara lite mycket nu, men i framtiden när du har större matematisk mognad kan du förhoppningsvis återvända hit och dra nytta av det.
Exakt. Vi hjälps åt att så små frön som med tiden blir mäktiga ekar.
Förstår inte språket bara, jag vet väldigt vagt vad en mängd är för någonting exempelvis. En ring har jag hört om en gång i någon YT video. Vad en kropp är har jag ingen aning om, osv. Men känner inte för att lära mig det just nu heller, det får bli sen om jag orkar :p dvs efter kursen..
Men tack. Nu ska jag läsa The ocean at the end of the lane. Bra bok.