1
svar
83
visningar
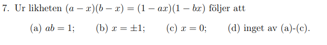
Fråga 7 2016
Jag förenklar VL och HL var för sig och sätter x-termer i VL och konstanter i HL, så ges abx2-x2=ab-1
Faktoriserar ut x2 => x2(ab-1)=ab-1 => x =+-1
Så då svarar jag b, men facit säger att "d" är rätt. Vad blir fel?

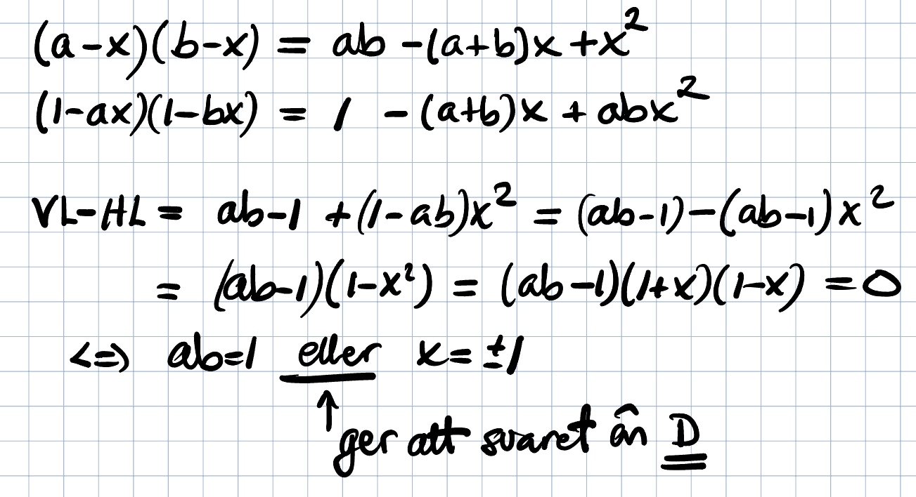
Jag tror de menar så här
Visa spoiler
