2
svar
141
visningar
Faktorisera
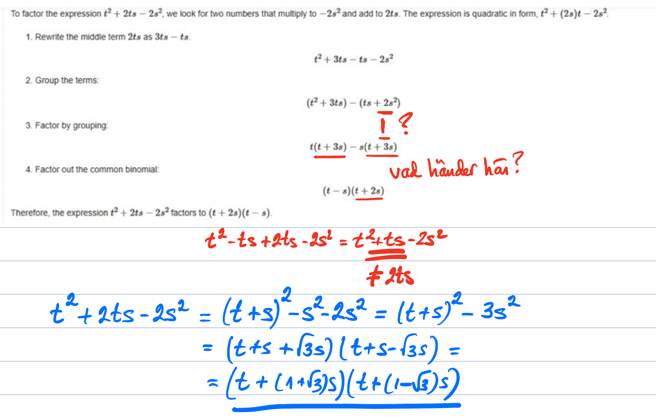
Hej
Jag har hitta en uppgift och svar på nätet som är rätt så snarlik den uppgift jag ska lösa. Problemet är att jag inte riktigt förstår tillvägagångsättet. Undrar nu om det verkligen stämmer?
Hur ser den uppgiften du skall lösa?
