2
svar
134
visningar
teknikomatte behöver inte mer hjälp
Elektrodynamik - Trådantenn, får fel på B-fält
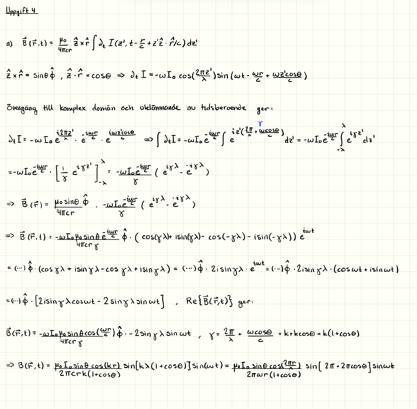
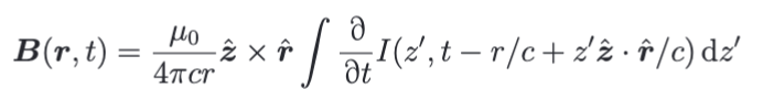
Hej se uppgift:
Så här tog jag fram B-fältet:

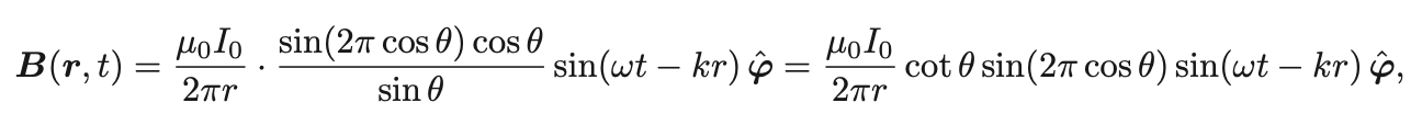
Men facit säger:

Vad gör jag för fel, har kollat igenom nu några gånger och ser inte vad som skulle vara fel i mina räkningar.
Du ger inte mycket text men du verkar försöka även räkna ut närfältet?
Pieter Kuiper skrev:Du ger inte mycket text men du verkar försöka även räkna ut närfältet?
Nja, hurså? Det jag har gjort är att ta sambandet för fjärrfältet för en rak trådantenn och satt in strömmen.
Sen har jag skrivit om strömmens cos-termer med för att integralen ska vara lättare, den imaginära delen som man får i slutet, bortser jag ifrån (behåller alltså bara den reella delen).
Edit: Inser nu att , och då blir det givetvis fel..