1
svar
95
visningar
Dubbelintegral med polära koordinater
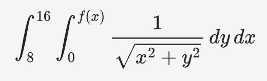
Jag försöker lösa följande dubbelintegral: 
Där f(x) =
f(x) kan skrivas om till , vilket är en cirkel med medelpunkt i (8,0) och radien 8. Gränserna för dx är 8 till 16, och dy från y = 0 till y = .
När jag övergår till polära koordinater varierar r från 8 till 16 och t från 0 till pi, och integralen blir (1/r * r)drdt, vilket helt enkelt blir 1. När jag räknar ut integralen får jag svaret 96pi, vilket inte är rätt.
Kan någon ge mig en ledtråd om var jag går snett?
Rita ut området.