dubbelintegral
Här har jag tänkt att man ska byta till polära kordinater men får istället en besverlig integral att lösa 
Du är på god väg! Ser du ngt samband i integranden?
Ja alltså derivatan av sin(2θ) blir ju 2cos(2θ) så man kan ju göra någon substution men osäker hur man delar upp den med r?
fisher skrev:Ja alltså derivatan av sin(2θ) blir ju 2cos(2θ) så man kan ju göra någon substution men osäker hur man delar upp den med r?
Ingen sub. Det är "rakt på". Här är en liten ledtråd

Tack för hjälpen!!
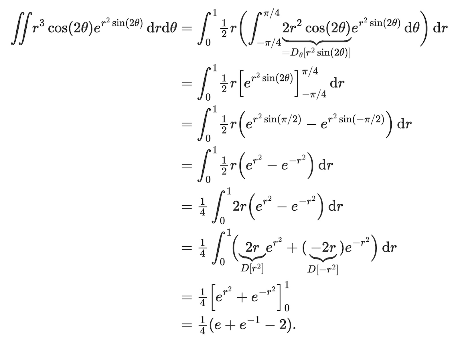
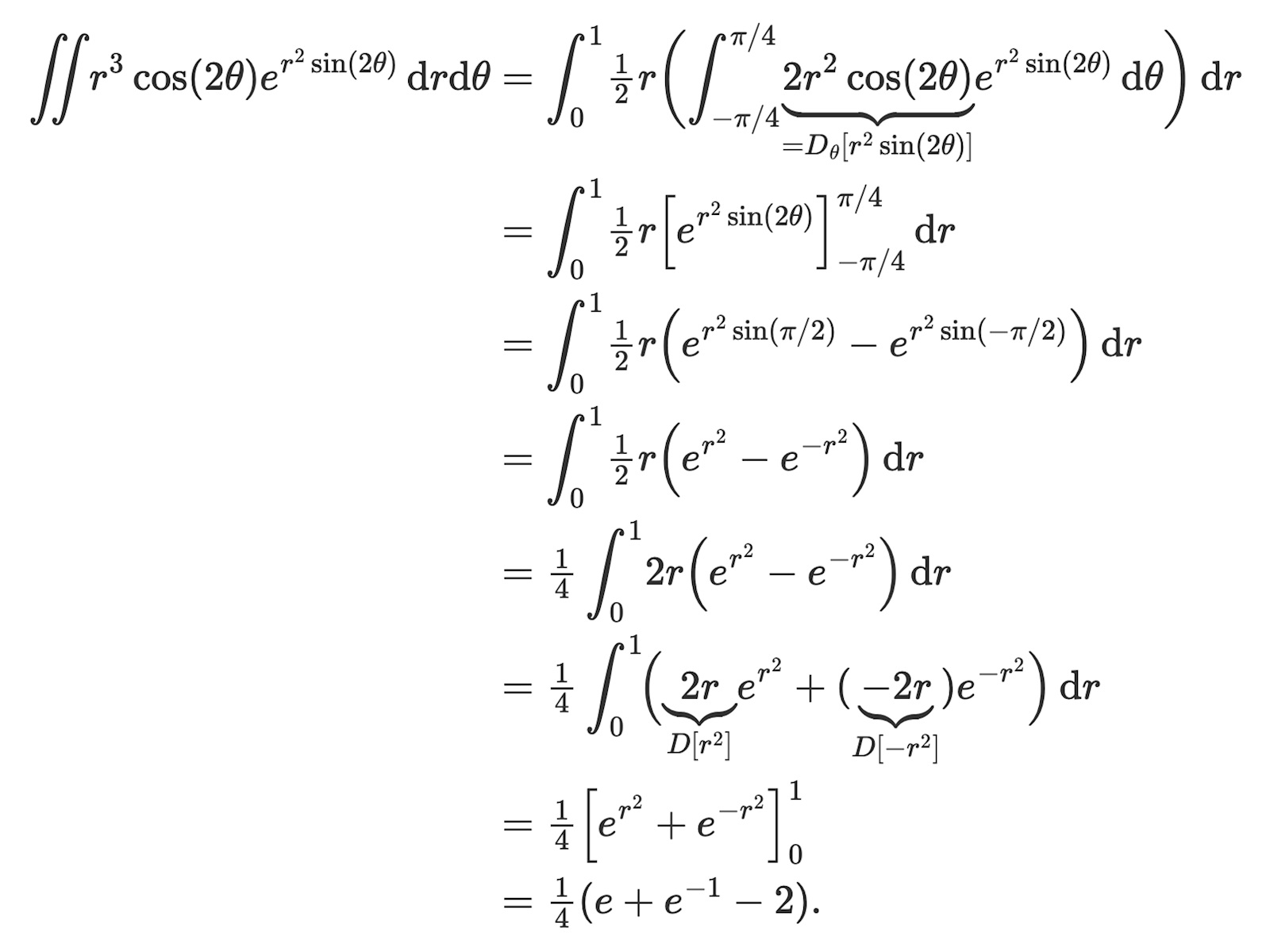
Här är en lösning, för ev. framtida intresse;
Trinity2 skrev:Här är en lösning, för ev. framtida intresse;
Hm jag förstår inte riktigt hur du försökte integrera map r..
destiny99 skrev:Trinity2 skrev:Här är en lösning, för ev. framtida intresse;
Hm jag förstår inte riktigt hur du försökte integrera map r..
Vilket led undrar du över?


