Bestäm volymen av den uppkomna kroppen


Jag har inte börjat på uppgiften ännu. Den första frågan jag ställer mig är om man ska betrakta rotationskroppen som sammansatt av lodräta eller vågräta skivor. Återkommer.
Om vi tar vågräta skivor (som du tycks ha gjort) så har vi x = ey.
y går nu från 0 till 1 (du har skrivit 0 till e, det tror jag är fel).
En skiva har arean pi e2 – pi (ey)2 = pi e2 – pi e2y
Så volymen blir Integralen från 0 till 1 av pi ( e2 – e2y) dy
Jag ska räkna färdigt så får vi se.
Jag är definitivt ringrostig här, men jag får (e2+1) pi/2.
Kan det vara rätt?
En koll är att ta lodräta band, men det är litet jobbigare att integrera x ln x.
Oj, här försvann ett inlägg som jag trodde jag postat.
Mitt resultat blev (e2+1)pi/2.
Alternativet är att integrera lodräta blad som går runt y-axeln.
Då måste man integrera x lnx vilket är jobbigare (det blir 2x2 lnx – x2)/4
Marilyn skrev:Oj, här försvann ett inlägg som jag trodde jag postat.
Mitt resultat blev (e2+1)pi/2.
Alternativet är att integrera lodräta blad som går runt y-axeln.
Då måste man integrera x lnx vilket är jobbigare (det blir 2x2 lnx – x2)/4
Jag fick samma.
MaKe skrev:
Var det något skumt med sajten igårkväll? Detta inlägg såg jag inte då, och ett av mina försvann. Nevermind, jag tycker det ser ut som att du roterar runt x-axeln i stället för y-axeln.
Marilyn skrev:
Var det något skumt med sajten igårkväll? Detta inlägg såg jag inte då, och ett av mina försvann. Nevermind, jag tycker det ser ut som att du roterar runt x-axeln i stället för y-axeln.
Ops, det har jag gjort (roterat runt x-axeln).
stämmer.
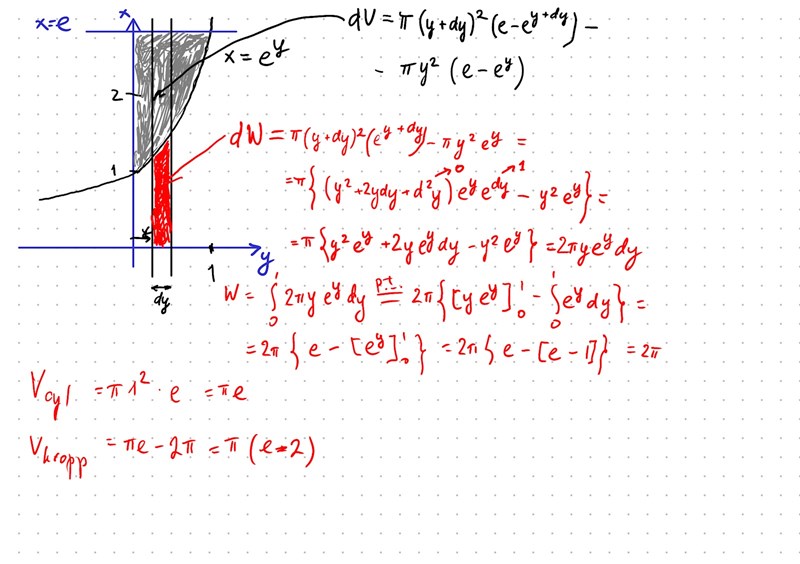
Om man inte inser att det går att ställa upp med en enda integral eller känner sig ovan vid att integrera skivor med hål i så går det utmärkt att istället se kroppen som det som blir kvar om man "gröper ur" en cylinder (radie e, höjd 1) med hjälp av y = ln(x) som roteras runt y-axeln.

Yngve skrev:stämmer.
Om man inte inser att det går att ställa upp med en enda integral eller känner sig ovan vid att integrera skivor med hål i så går det utmärkt att istället se kroppen som det som blir kvar om man "gröper ur" en cylinder (radie e, höjd 1) med hjälp av y = ln(x) som roteras runt y-axeln.
Jag har precis räknat om och gjort som du beskriver. Kommit fram till också.

