3
svar
399
visningar
ArkTa behöver inte mer hjälp
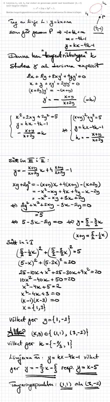
Bestäm tangeringspunkterna med ellipsen

Jag vet inte hur jag ska börja här
En linje kan skrivas . Du vet en punkt som linjerna skär vilket ger dig . Med en till punkt kan du bestämma linjerna entydigt. Du vill välja en punkt från ellipsen sådan att linjen du får enbart har 1 gemensam punkt med ellipsen (till skillnad från de andra möjligheterna 0 eller 2 gemensamma punkter).
Se om du kan ställa upp problemet och ta dig vidare.
En variant

Tack!