Bestäm största och minsta värdet

Hej!
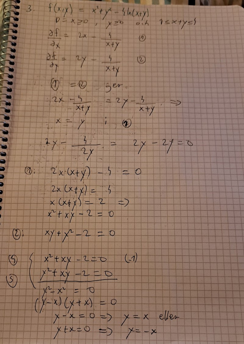
Jag försöker hitta partiella derivator genom att göra på det sättet jag gjort ibörjan och då får jag att 0=0. Vid andra sättet får jag antingen att y=x eller y=-x. Betyder det här att det inte existerar stationära punkter? Sen är jag inte klar med uppgiften riktigt då jag fastnat på hur jag ska fortsätta vidare. Jag vet att jag ska titta på randen och 1<=x+y<=4

Jag är inte säker på att jag förstår din uträkning.
Vi ska undersöka när både och , vilket ger att , alltså att .
Substituerar vi får vi att , vilket ger som endast gäller när .
Alltså är den (enda) inre kritiska punkten.
Gustor skrev:Jag är inte säker på att jag förstår din uträkning.
Vi ska undersöka när både och , vilket ger att , alltså att .
Substituerar vi får vi att , vilket ger som endast gäller när .
Alltså är den (enda) inre kritiska punkten.
Aa jag upptäckte det själv och fick nu x=1. Slarvade med min uträkning av 4/2x. Vet du hur vi ska hitta hörnpunkterna?
Undersök funktionens värden längs randen och som fås från gränserna för .
I den första är och i den andra .
Gustor skrev:Undersök funktionens värden längs randen och som fås från gränserna för .
I den första är och i den andra .
Hur kommer du fram till dessa två intervall rent matematiskt?
Randen har jag undersökt men jag vet ej hur jag ska få hörnpunkterna.
ger , och , ger att . Gör på liknande sätt för .
Antar att du med hörnpunkterna menar punkterna , längs randen samt punkterna och längs randen . Längs är
.
Därav får vi för de första två hörnen att
och .
Gör på liknande sätt för .
Gustor skrev:ger , och , ger att . Gör på liknande sätt för .
Jag vet inte om jag förstår dig rätt här. Men om x=0 så har vi att y=1 från ekvationen y=1-x och om x=1 så har vi y=0. Alltså varierar x från 0 till 1 för linjen y=1-x och för linjen y=4-x så varierar x från 0 till 4. Detta ger oss hörnpunkterna (0,1) , (1,0) samt (0,4) och (4,0). Jag antar det är så man gör för att få fram hörnpunkterna och det är tur att vi har fått givet x>=0 samt y>=0.
destiny99 skrev:Gustor skrev:ger , och , ger att . Gör på liknande sätt för .
Jag vet inte om jag förstår dig rätt här. Men om x=0 så har vi att y=1 från ekvationen y=1-x och om x=1 så har vi y=0. Alltså varierar x från 0 till 1 för linjen y=1-x och för linjen y=4-x så varierar x från 0 till 4. Detta ger oss hörnpunkterna (0,1) , (1,0) samt (0,4) och (4,0). Jag antar det är så man gör för att få fram hörnpunkterna och det är tur att vi har fått givet x>=0 samt y>=0.
För att vara extra tydlig: att betyder att och att .
I den första av dessa olikheter råder likhet när . Vi börjar med att undersöka funktionen när denna likhet gäller. Vi kan skriva den som . Eftersom så är . Eftersom så är . Således är , vilket också ger att .
Slutsats: När är och .
Liknande resonemang för ger att och .
Gustor skrev:destiny99 skrev:Gustor skrev:ger , och , ger att . Gör på liknande sätt för .
Jag vet inte om jag förstår dig rätt här. Men om x=0 så har vi att y=1 från ekvationen y=1-x och om x=1 så har vi y=0. Alltså varierar x från 0 till 1 för linjen y=1-x och för linjen y=4-x så varierar x från 0 till 4. Detta ger oss hörnpunkterna (0,1) , (1,0) samt (0,4) och (4,0). Jag antar det är så man gör för att få fram hörnpunkterna och det är tur att vi har fått givet x>=0 samt y>=0.
För att vara extra tydlig: att betyder att och att .
I den första av dessa olikheter råder likhet när . Vi börjar med att undersöka funktionen när denna likhet gäller. Vi kan skriva den som . Eftersom så är . Eftersom så är . Således är , vilket också ger att .
Slutsats: När är och .
Liknande resonemang för ger att och .
Jo men jag fick samma som dig med hörnpunkterna.
Ja, men du sade att du inte visste om du förstod mig rätt.
Se mitt tidigare inlägg angående hörnpunkter.
Gustor skrev:Ja, men du sade att du inte visste om du förstod mig rätt.
Se mitt tidigare inlägg angående hörn punkter.
Jo men jag skrev också hur jag förstod detta sen och lyckades även lösa detta. Man kan ju resonera lite olika och få samma hörnpunkter ändå.
Okej, så länge du känner att du förstår. Kanske jag som inte förstod att du förstod.