0
svar
120
visningar
destiny99 behöver inte mer hjälp
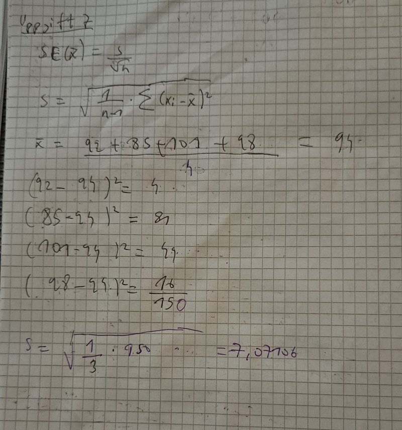
Bestäm medelfelet för skattningen av my


Hej!
Jag försökte använda mig av formeln SE(x)=s/sqrt(n) men det blir inte riktigt rätt. Jag vet inte vad det är jag missar. I början trodde jag att myobs* var =x(streck) men det är tydligen inte så.