1
svar
114
visningar
destiny99 behöver inte mer hjälp
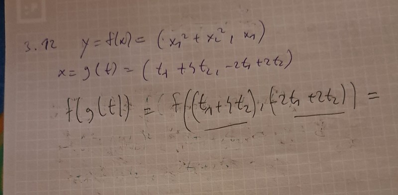
Bestäm funktionalmatrisen fog
Hej!
jag lyckades med detta än så länge men körde fast vid att sammansättningen fog. Jag ser att x1^2+x2^2=t^1+4t^2 och x1=-2t^1+2t^2 men är osäker hehe!


I sammansättningen ska du sätta in och i formlerna för ,d.v.s.
och detta kan nu deriveras m.a.p. respektive för att få fram funktionalmatrisen.
Alternativ lösning: Ta fram funktionalmatrisen för (m.a.p. och ) för sig. Ta fram funktionalmatrisen för (m.a.p. och ) för sig. Matrismultiplicera dessa ihop (det är exakt detta kedjeregeln säger om sammansatta avbildningar). Till slut sätter du in och .