Bestäm följande gränsvärden (J.Månsson 3.20e)
Hej!
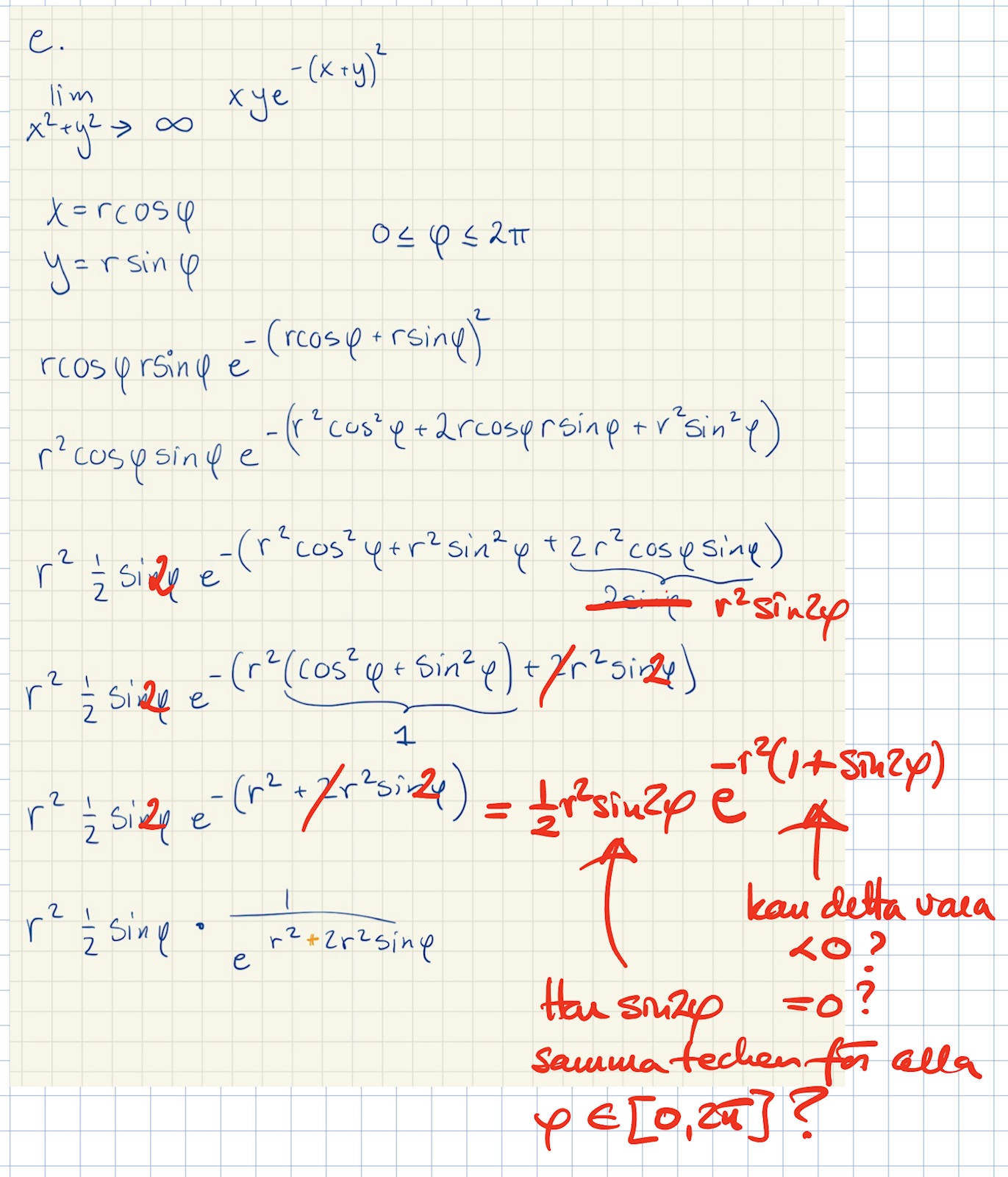
Har lite problem med följande uppgift (e-uppgiften):

Där jag har gjort följande:


Och trots hjälpen på d-uppgiften så ville jag då dra samma slutsats, dvs. att skulle växa snabbare än . Här säger dock facit att gränsvärde saknas vilket jag inte riktigt förstår mig på varför...
Vad händer när inte är positiv?
Såhär tänker jag:

ChocolateTerrain skrev:Hej!
Har lite problem med följande uppgift (e-uppgiften):
Där jag har gjort följande:
Och trots hjälpen på d-uppgiften så ville jag då dra samma slutsats, dvs. att skulle växa snabbare än . Här säger dock facit att gränsvärde saknas vilket jag inte riktigt förstår mig på varför...

Lite osäker på vad exakt den andra pilen pekar på men, har olika tecken speciellt då . Antar att du endast menar exponenten, då kan den bli noll likt tidigare, .
Tittat på denna igen, här kommer lösningen:



