Bestäm alla 2x2 matriser A sådana att AA^T = (A^T)A

Jag vet inte hur jag ska fortsätt

Lös ekvationssystemet! 4 obekanta, 4 ekvationer.
Dr. G skrev:Lös ekvationssystemet! 4 obekanta, 4 ekvationer.
Jag ser inte hur ekvationssystemet ska se ut 🙁
Varje matriselement i ATA ska vara lika med motsvarande matriselement i AAT.
Det ger t.ex
a2 + b2 = a2 + c2
och tre andra samband.
Dr. G skrev:Varje matriselement i ATA ska vara lika med motsvarande matriselement i AAT.
Det ger t.ex
a2 + b2 = a2 + c2
och tre andra samband.
Hur ska jag tänka nu?


Lös ekvation 1 och 4. Det finns då två fall. Sätt in dessa i 2 och 3.
Dr. G skrev:Lös ekvation 1 och 4. Det finns då två fall. Sätt in dessa i 2 och 3.
B = C, C = B.
Jag ser att ekvation 2 och ekvation 3 är samma... jag vet dock inte hur jag löser ut a och d

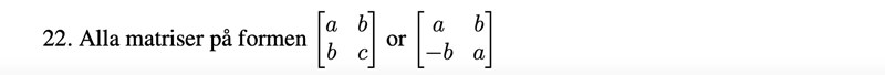
Svaret förresten är 
Om
c = b
så blir ekvation 2
ab + bd = ab + bd
d.v.s alltid sann. Detta eftersom du då har A = AT.
Om c = -b
blir ekvation 2
a(-b) + bd = ab + (-b)d
så
2b(d -a) = 0
så
a = d
Dr. G skrev:Om
c = b
så blir ekvation 2
ab + bd = ab + bd
d.v.s alltid sann. Detta eftersom du då har A = AT.
Om c = -b
blir ekvation 2
a(-b) + bd = ab + (-b)d
så
2b(d -a) = 0
så
a = d
Jag får fel svar hela tiden


Bry dig inte om att du och facit kallar matriselementen för olika saker.
Du har rätt med
[a B
B D]
(facit kallar D för c och B för b)
Du har missat ett tecken när du skriver
[D C
C D],
annars är det samma sak som
[a b
-b a]
Dr. G skrev:Bry dig inte om att du och facit kallar matriselementen för olika saker.
Du har rätt med
[a B
B D]
(facit kallar D för c och B för b)
Du har missat ett tecken när du skriver
[D C
C D],
annars är det samma sak som
[a b
-b a]
Hjärndöd fråga men varför fick vi [ a B
B D] och inte [a B
B c ] som facit? hur kan jag skriva om det som facit?
Den andra lösningen är jag med på dvs [ a B
-B a]

brunbjörn skrev:Hjärndöd fråga men varför fick vi [ a B
B D] och inte [a B
B c ] som facit? hur kan jag skriva om det som facit?
Facit utgår inte från att matrisen A är
[a b
c d]
Så det är inte så att c:et på något mystiskt sätt befinner sig på d:ets plats.
Ditt svar är korrekt.
Det första svaret säger att A är en godtycklig symmetrisk matris med A12 = A21 och elementen på diagonalen kan ha vilka värden som helst.