41 svar
562 visningar
destiny99 behöver inte mer hjälp
destiny99 10701
Postad: 28 apr 09:15

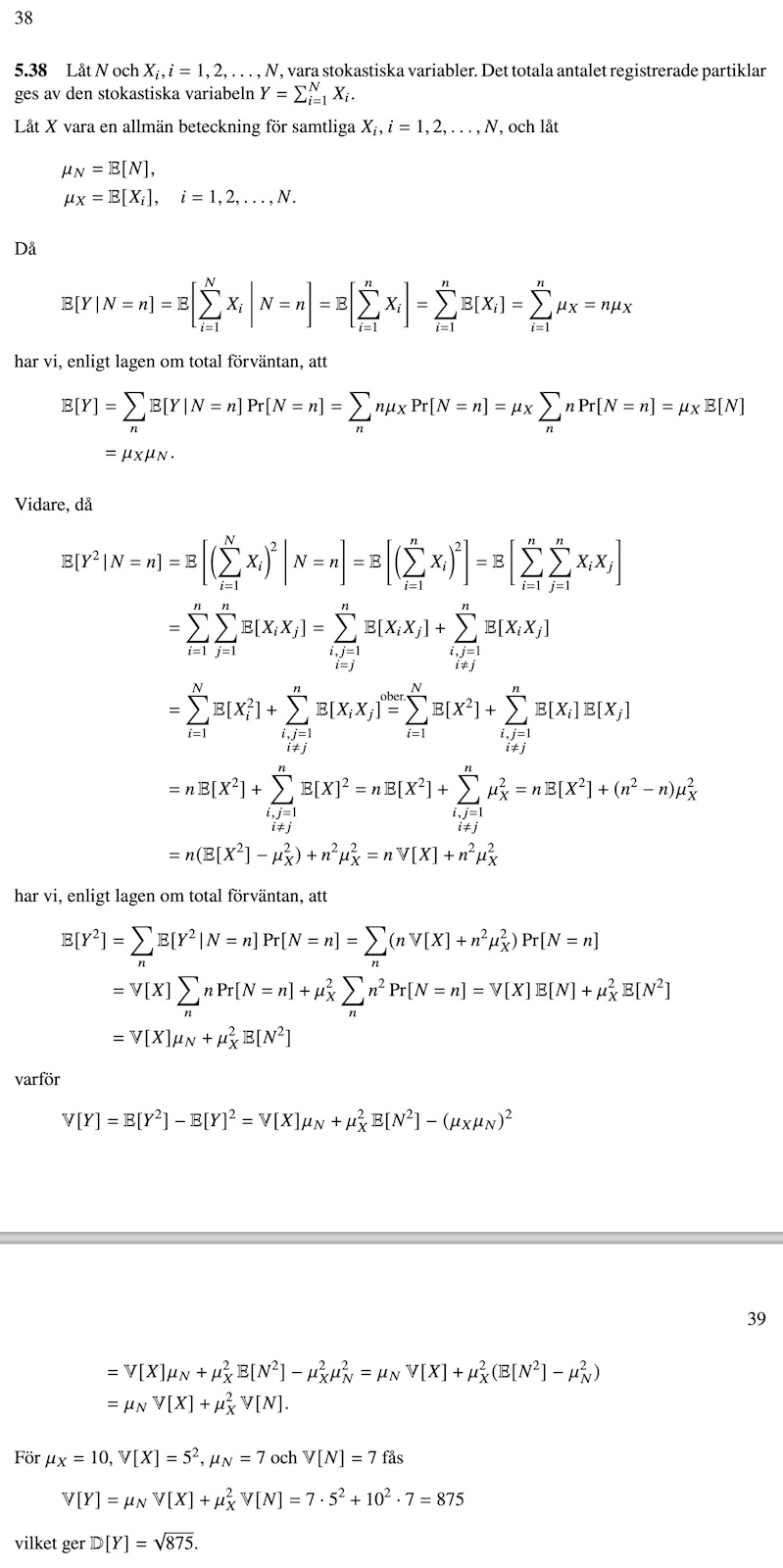
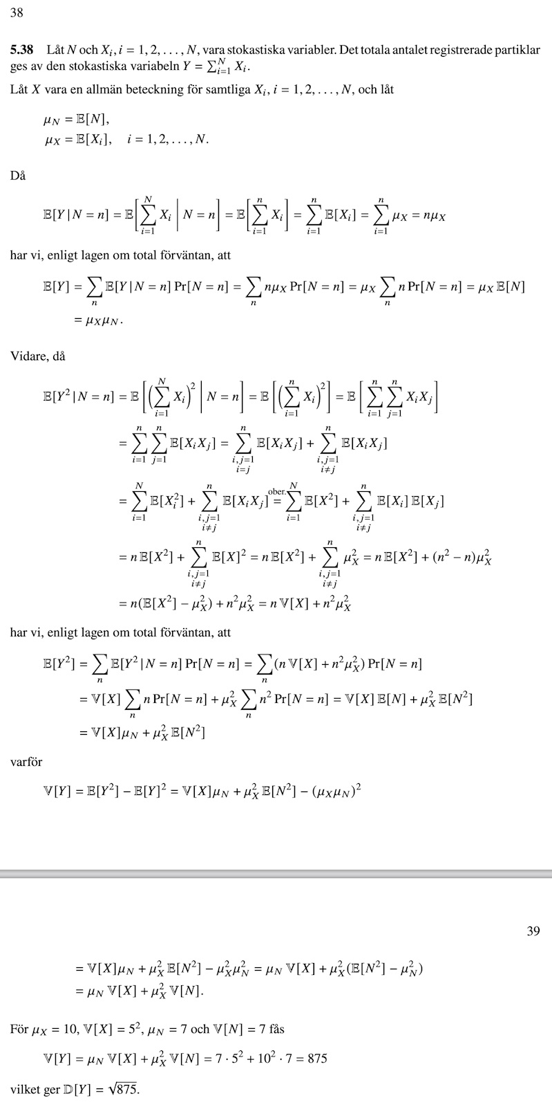
Beräkna väntevärde och standardavvikelse för registrerade partiklar

Hej!

 

Jag lyckades med att hitta väntevärdet mha E(NXi)=E(N)E(Xi)=70 men fastnade med att hitta standardavvikelse. Hur tänker man där?

Pieter Kuiper 9458 – Avstängd
Postad: 28 apr 10:30 Redigerad: 28 apr 10:31

Det gör man nog med hjälp av relativa värden av standarddeviation.

destiny99 10701
Postad: 28 apr 10:58
Pieter Kuiper skrev:

Det gör man nog med hjälp av relativa värden av standarddeviation.

Vad menar du med relativa värden av standarddeviation?

Pieter Kuiper 9458 – Avstängd
Postad: 28 apr 17:56 Redigerad: 28 apr 17:56
destiny99 skrev:
Pieter Kuiper skrev:

Det gör man nog med hjälp av relativa värden av standarddeviation.

Vad menar du med relativa värden av standarddeviation?

Jag gissar att D(Xi)=5 betyder att standarddeviationen är 5. Om väntevärdet E(Xi)=10, är den relativa standardavvikelsen 50 % eller 0,5.

destiny99 10701
Postad: 28 apr 18:32 Redigerad: 28 apr 18:37
Pieter Kuiper skrev:
destiny99 skrev:
Pieter Kuiper skrev:

Det gör man nog med hjälp av relativa värden av standarddeviation.

Vad menar du med relativa värden av standarddeviation?

Jag gissar att D(Xi)=5 betyder att standarddeviationen är 5. Om väntevärdet E(Xi)=10, är den relativa standardavvikelsen 50 % eller 0,5.

Vi vet att D(X)=sqrt(V(X)).  Här vet vi att D(Xi)=5 så V(Xi)= 25? Sen vet vi att V(N)=7 så D(N)=sqrt(7). Men det känns om att vi söker D(NXi)=sqrt(V(NXi))

Pieter Kuiper 9458 – Avstängd
Postad: 28 apr 19:14 Redigerad: 28 apr 19:23
destiny99 skrev:
Men det känns om att vi söker D(NXi)=sqrt(V(NXi))

Jo. Och jag antar att det ska beräknas via den relativa standardavvikelsen σrel=σ1,rel2+σ2,rel2\sigma_{\rm rel} = \sqrt{\sigma^2_{\rm 1, rel} + \sigma^2_{\rm 2, rel}}.

destiny99 10701
Postad: 28 apr 19:57 Redigerad: 28 apr 20:00
Pieter Kuiper skrev:
destiny99 skrev:
Men det känns om att vi söker D(NXi)=sqrt(V(NXi))

Jo. Och jag antar att det ska beräknas via den relativa standardavvikelsen σrel=σ1,rel2+σ2,rel2\sigma_{\rm rel} = \sqrt{\sigma^2_{\rm 1, rel} + \sigma^2_{\rm 2, rel}}.


Chat föreslår dessa och får fram rätt svar.  Mdn hur hittar man py(N)? 

destiny99 10701
Postad: 28 apr 20:27

Här är även ett exempel ur kursboken. 

destiny99 skrev:

rätt svar.   

Så du har facit...

Jag gissar att det är ungefär 45.

destiny99 10701
Postad: 28 apr 20:45
Pieter Kuiper skrev:
destiny99 skrev:

rätt svar.   

Så du har facit...

Jag gissar att det är ungefär 45.

Det är chatgpt  , inte lösningsförslaget. 

Hondel 1536
Postad: 29 apr 07:52 Redigerad: 29 apr 07:53

Jag vet inte riktigt vad du menar med att ChatGPT föreslagit något, har alltså ChatGPT föreslagit att du ska använda dessa satser?

Vi kan prova: om X är totala antalet partiklar vet du att X|N=i=1NXiX|N = \sum_{i=1}^N X_i

Kan du nu räkna ut V(X|N) och E(X|N)? Kom ihåg att XiX_i är oberoende från varandra. 


Tillägg: 29 apr 2025 07:53

Alltså, X i formeln kallas här också X och är totala antalet partiklar, medan Y i formeln är N (antalet inkommande partiklar)

Hondel 1536
Postad: 29 apr 07:54

Vad är svaret btw? Är det 45 som föreslagit ovan, eller närmare 30?

destiny99 10701
Postad: 29 apr 08:23 Redigerad: 29 apr 08:27
Hondel skrev:

Jag vet inte riktigt vad du menar med att ChatGPT föreslagit något, har alltså ChatGPT föreslagit att du ska använda dessa satser?

Vi kan prova: om X är totala antalet partiklar vet du att X|N=i=1NXiX|N = \sum_{i=1}^N X_i

Kan du nu räkna ut V(X|N) och E(X|N)? Kom ihåg att XiX_i är oberoende från varandra. 


Tillägg: 29 apr 2025 07:53

Alltså, X i formeln kallas här också X och är totala antalet partiklar, medan Y i formeln är N (antalet inkommande partiklar)

Ja asså chatgpt föreslog totala förväntan och sen någon annan sats i boken som jag inte minns namnet på. 

Men jag fastnade på hur vi hittar V(X|N) och E(X|N). Jag antar att man ska göra som exemplet i #8.

destiny99 10701
Postad: 29 apr 08:26 Redigerad: 29 apr 08:38
Hondel skrev:

Vad är svaret btw? Är det 45 som föreslagit ovan, eller närmare 30?

Svaret är 70 och sqrt(875) på D(Y). Men hur man hittar D(Y) mha V(Y) är där jag körde fast och har svårt att kombinera sakerna ovan.

Hondel 1536
Postad: 29 apr 11:38 Redigerad: 29 apr 11:40

Okej, ja 875\sqrt{875} var också det jag fick. D(Y) är standardavvikelsen av Y, vilket är V(Y)\sqrt{V(Y)}

Men okej, låt oss kolla på hur man räknar E(X|N) och V(X|N). Du är med på att X|N=iNXiX|N= \sum_i^N X_i? Vad är väntevärdet/variansen av en summa av oberoende variabler?

destiny99 10701
Postad: 29 apr 11:44 Redigerad: 29 apr 11:45
Hondel skrev:

Okej, ja 875\sqrt{875} var också det jag fick. D(Y) är standardavvikelsen av Y, vilket är V(Y)\sqrt{V(Y)}

Men okej, låt oss kolla på hur man räknar E(X|N) och V(X|N). Du är med på att X|N=iNXiX|N= \sum_i^N X_i? Vad är väntevärdet/variansen av en summa av oberoende variabler?

Okej nej jag är inte med på hur X|N=Xi? Är detta en definition/sats eller? Var finns det i bloms bok isåfall? (Kommer inte ihåg alla saker)

Hondel 1536
Postad: 29 apr 18:00 Redigerad: 29 apr 18:08

Nej, X|N=i=1NXiX|N=\sum_{i=1}^N X_i, notera summan. 

X|N betyder X givet N. Alltså, givet att det kommer N partiklar, hur många totala partiklar blir det? Jo, varje inkommande partikel ger upphov till XiX_i partiklar, så om det totalt är N inkommande partiklar kommer det blir en summa mellan i=1 till N och varje term är XiX_i

 

Alltså, vi summerar bara antalet uppkomna partiklar från varje inkommande partikel, och totalt är det N stycken inkomna partiklar 

destiny99 10701
Postad: 29 apr 18:21
Hondel skrev:

Nej, X|N=i=1NXiX|N=\sum_{i=1}^N X_i, notera summan. 

X|N betyder X givet N. Alltså, givet att det kommer N partiklar, hur många totala partiklar blir det? Jo, varje inkommande partikel ger upphov till XiX_i partiklar, så om det totalt är N inkommande partiklar kommer det blir en summa mellan i=1 till N och varje term är XiX_i

 

Alltså, vi summerar bara antalet uppkomna partiklar från varje inkommande partikel, och totalt är det N stycken inkomna partiklar 

Aa ok. 

Hondel 1536
Postad: 30 apr 06:19

Så, kan du nu räkna ut E(X|N) och V(X|N)?

destiny99 10701
Postad: 30 apr 07:03
Hondel skrev:

Så, kan du nu räkna ut E(X|N) och V(X|N)?

E(X|N)=E(N*Xi) men V(X|N) vet jag inte

Hondel 1536
Postad: 30 apr 08:15

Hur kom du fram till väntevärdet? Du borde kunna använda samma metod för variansen

Hondel 1536
Postad: 30 apr 08:17

Man ska kanske vara lite försiktig med notationen och se till att N är utanför, alltså E(X|N)=N*E(Xi)E(X|N)=N*E(X_i) I och med att det är väntevärdet med avseende på X vi räknar, så man inte blir förvirrad och tar väntevärdet på N eller liknande 

destiny99 10701
Postad: 30 apr 08:45 Redigerad: 30 apr 08:48
Hondel skrev:

Man ska kanske vara lite försiktig med notationen och se till att N är utanför, alltså E(X|N)=N*E(Xi)E(X|N)=N*E(X_i) I och med att det är väntevärdet med avseende på X vi räknar, så man inte blir förvirrad och tar väntevärdet på N eller liknande 

Aa ok jag förstår. Men i frågan är E(N) givet också och varför tar du ut N framför E(Xi)? Jag vet att det finns ett samband som säger (EXY)=E(X)×E(Y) om X och Y är oberoende. 

Hondel 1536
Postad: 30 apr 09:22 Redigerad: 30 apr 09:27

Hm, okej flera grejer som pågår nu. Jag ska försöka reda ut.

Visst stämmer det att väntevärdet av en produkt av två oberoende variabler är produkten av deras väntevärden. Dock är inte totala antalet partiklar XX produkten N·XiN\cdot X_i: det skulle betyda att alla inkommande partiklar ger upphov till samma antalet partiklar XiX_i. Som jag sagt tidigare, XX, givet NN (vilket betecknas X|NX|N) är summan i=1NXi\sum_{i=1}^N X_i.

Om du då vill beräkna väntevärdet E[X]E[X] kan du använda lagen om total förväntan som säger att E[X]=E[E[X|N]]E[X]=E[E[X|N]]. Dvs, första beräknar du E[X|N]E[X|N], dvs, du ser NN som ett fixt värde och beräknar väntevärdet för detta (vilket då kommer bero på värdet N), och sedan beräknar du väntevärdet av detta. Jag demonstrerar hur man skulle göra detta i din uppgift:

E[X|N]=E[i=1NXi]=i=1NE[Xi]=N·E[Xi]=N·10E[X|N] = E[\sum_{i=1}^N X_i] = \sum_{i=1}^N E[X_i] = N\cdot E[X_i] = N\cdot 10 där jag utnyttjat att väntevärdet av en summa är summan av väntevärden (dvs, jag kan flytta in väntevärdet innanför summan), och alla XiX_i har samma väntevärden.

Detta beror alltså på N. Så nu tar vi väntevärdet på detta:

E[10N]=10E[N]=70E[10N] = 10E[N] = 70. (konstanten 10 kan bara flyttas utanför väntevärdet)

I detta fall blev det lika med det du fick fram, men jag skulle säga att hur du motiverar det är inte riktigt korrekt.

Okej, nu kan vi kolla på variansen. Jag visade ovan vad E[X|N]E[X|N] är. Vi kan beräkna V[X|N]V[X|N] på liknande sätt:

V[X|N]=V[i=1NXi]=i=1NV[Xi]=N·V[Xi]=N·52V[X|N] = V[\sum_{i=1}^N X_i] = \sum_{i=1}^N V[X_i] = N\cdot V[X_i] = N \cdot 5^2, där jag utnyttjat att variansen av en summa av oberoende variabler är summan av varianser (och XiX_i är oberoende), samt att standardavvikelsen D[Xi]D[X_i] är given, och V[Xi]=D[Xi]2V[X_i]=D[X_i]^2

Så, kan du med hjälp av detta fortsätta räkna ut V[X]=E[V[X|N]]+V[E[X|N]]V[X] = E[V[X|N]] + V[E[X|N]]?

destiny99 10701
Postad: 30 apr 09:41 Redigerad: 30 apr 09:43
Hondel skrev:

Hm, okej flera grejer som pågår nu. Jag ska försöka reda ut.

Visst stämmer det att väntevärdet av en produkt av två oberoende variabler är produkten av deras väntevärden. Dock är inte totala antalet partiklar XX produkten N·XiN\cdot X_i: det skulle betyda att alla inkommande partiklar ger upphov till samma antalet partiklar XiX_i. Som jag sagt tidigare, XX, givet NN (vilket betecknas X|NX|N) är summan i=1NXi\sum_{i=1}^N X_i.

Om du då vill beräkna väntevärdet E[X]E[X] kan du använda lagen om total förväntan som säger att E[X]=E[E[X|N]]E[X]=E[E[X|N]]. Dvs, första beräknar du E[X|N]E[X|N], dvs, du ser NN som ett fixt värde och beräknar väntevärdet för detta (vilket då kommer bero på värdet N), och sedan beräknar du väntevärdet av detta. Jag demonstrerar hur man skulle göra detta i din uppgift:

E[X|N]=E[i=1NXi]=i=1NE[Xi]=N·E[Xi]=N·10E[X|N] = E[\sum_{i=1}^N X_i] = \sum_{i=1}^N E[X_i] = N\cdot E[X_i] = N\cdot 10 där jag utnyttjat att väntevärdet av en summa är summan av väntevärden (dvs, jag kan flytta in väntevärdet innanför summan), och alla XiX_i har samma väntevärden.

Detta beror alltså på N. Så nu tar vi väntevärdet på detta:

E[10N]=10E[N]=70E[10N] = 10E[N] = 70. (konstanten 10 kan bara flyttas utanför väntevärdet)

I detta fall blev det lika med det du fick fram, men jag skulle säga att hur du motiverar det är inte riktigt korrekt.

Okej, nu kan vi kolla på variansen. Jag visade ovan vad E[X|N]E[X|N] är. Vi kan beräkna V[X|N]V[X|N] på liknande sätt:

V[X|N]=V[i=1NXi]=i=1NV[Xi]=N·V[Xi]=N·52V[X|N] = V[\sum_{i=1}^N X_i] = \sum_{i=1}^N V[X_i] = N\cdot V[X_i] = N \cdot 5^2, där jag utnyttjat att variansen av en summa av oberoende variabler är summan av varianser (och XiX_i är oberoende), samt att standardavvikelsen D[Xi]D[X_i] är given, och V[Xi]=D[Xi]2V[X_i]=D[X_i]^2

Så, kan du med hjälp av detta fortsätta räkna ut V[X]=E[V[X|N]]+V[E[X|N]]V[X] = E[V[X|N]] + V[E[X|N]]?

Tack för hjälpen. Återkommer om det uppstår annan fråga. Har inte lyckats lösa frågan men jag avvaktar med den känner jag. 

Trinity2 3782
Postad: 30 apr 10:35

Denna uppgift är rätt ”stökig”, men då jag ändå räknar mig igenom Blom skall jag se på denna.

destiny99 10701
Postad: 1 maj 13:13
destiny99 skrev:

Hej!

 

Jag lyckades med att hitta väntevärdet mha E(NXi)=E(N)E(Xi)=70 men fastnade med att hitta standardavvikelse. Hur tänker man där?

gör så! Återkom gärna. 

Trinity2 3782
Postad: 1 maj 14:37

Konfunderad... du svarar dig själv?

destiny99 10701
Postad: 1 maj 15:36 Redigerad: 1 maj 15:37
Trinity2 skrev:

Konfunderad... du svarar dig själv?

Oj det e sant. Meningen var att svara på ditt inlägg där du skrev 

"Denna uppgift är rätt ”stökig”, men då jag ändå räknar mig igenom Blom skall jag se på denna". 

Trinity2 3782
Postad: 1 maj 15:59
destiny99 skrev:
Trinity2 skrev:

Konfunderad... du svarar dig själv?

Oj det e sant. Meningen var att svara på ditt inlägg där du skrev 

"Denna uppgift är rätt ”stökig”, men då jag ändå räknar mig igenom Blom skall jag se på denna". 

Då är jag med. Skall kolla in i e.m.

Trinity2 3782
Postad: 1 maj 16:24 Redigerad: 1 maj 16:25
destiny99 skrev:
Trinity2 skrev:

Konfunderad... du svarar dig själv?

Oj det e sant. Meningen var att svara på ditt inlägg där du skrev 

"Denna uppgift är rätt ”stökig”, men då jag ändå räknar mig igenom Blom skall jag se på denna". 

Något så här, typ;

destiny99 10701
Postad: 1 maj 16:25 Redigerad: 1 maj 16:26
Trinity2 skrev:
destiny99 skrev:
Trinity2 skrev:

Konfunderad... du svarar dig själv?

Oj det e sant. Meningen var att svara på ditt inlägg där du skrev 

"Denna uppgift är rätt ”stökig”, men då jag ändå räknar mig igenom Blom skall jag se på denna". 

Något så här, typ;

Skulle du kunna förklara typ steg för steg? Jag fattar inte mycket av allt justnu speciellt när det gäller att ta reda på standardavvikelse och sånt.

Trinity2 3782
Postad: 1 maj 16:27
destiny99 skrev:
Trinity2 skrev:
destiny99 skrev:
Trinity2 skrev:

Konfunderad... du svarar dig själv?

Oj det e sant. Meningen var att svara på ditt inlägg där du skrev 

"Denna uppgift är rätt ”stökig”, men då jag ändå räknar mig igenom Blom skall jag se på denna". 

Något så här, typ;

Skulle du kunna förklara typ steg för steg? Jag fattar inte mycket av allt justnu. 

Det blir en lång föreläsning isf och jag skall just ut i solen lite.

Men, studera definitoner av väntevärde och varians samt betingat väntevärde och varians och lagen om total förväntan. Det måste stå något i boken, man kna inte klara detta rakt av utan en teori så det bör stå om ni inte har Bloms bok, där det säkert står.

destiny99 10701
Postad: 1 maj 16:30 Redigerad: 1 maj 16:31
Trinity2 skrev:
destiny99 skrev:
Trinity2 skrev:
destiny99 skrev:
Trinity2 skrev:

Konfunderad... du svarar dig själv?

Oj det e sant. Meningen var att svara på ditt inlägg där du skrev 

"Denna uppgift är rätt ”stökig”, men då jag ändå räknar mig igenom Blom skall jag se på denna". 

Något så här, typ;

Skulle du kunna förklara typ steg för steg? Jag fattar inte mycket av allt justnu. 

Det blir en lång föreläsning isf och jag skall just ut i solen lite.

Men, studera definitoner av väntevärde och varians samt betingat väntevärde och varians och lagen om total förväntan. Det måste stå något i boken, man kna inte klara detta rakt av utan en teori så det bör stå om ni inte har Bloms bok, där det säkert står.

I bloms bok förklaras inte detta så väl tyvärr. Jag tog upp frågan med någon annan också och ingen av oss kunde få fram standardavvikelse eller variansen.  Tack ändå för hjälpen. 

Hondel 1536
Postad: 1 maj 18:04

Du kan fortsätta på min lösning kanske

vad är E[25N]? Vad är V[10N]? 

destiny99 10701
Postad: 1 maj 18:07 Redigerad: 1 maj 18:09
Hondel skrev:

Du kan fortsätta på min lösning kanske

vad är E[25N]? Vad är V[10N]? 

Det beror på vad du menar med E(25N)? Menar du 25×E(N)? Var kommer 25 ifrån?  Gällande V(10N) så minns jag inte denna regel a^2V(b) gäller här , det var så att det var 10^2×V(N). 

Hondel 1536
Postad: 1 maj 19:41

Jag menar E[25N], alltså, väntevärdet av 25 gånger N. Vilket är lika med 25E[N]. Och ja det stämmer att V[10N]=100V[N].

25N kommer från 52N5^2N ovan. Jag skrev det på datorn och när jag kollar på inlägget från mobilen är det helt oförståeligt, matematiken är väldigt konstigt formaterad.

Men i princip kom jag fram till att E[X|N]=10N och V[X|N]=25N. Och det betyder att V[E[X|N]]=V[10N] och E[V[X|N]=E[25N]. Med det kan du få V[X]=V[E[X|N]] + E[V[X|N]]

destiny99 10701
Postad: 4 maj 20:14
Hondel skrev:

Jag menar E[25N], alltså, väntevärdet av 25 gånger N. Vilket är lika med 25E[N]. Och ja det stämmer att V[10N]=100V[N].

25N kommer från 52N5^2N ovan. Jag skrev det på datorn och när jag kollar på inlägget från mobilen är det helt oförståeligt, matematiken är väldigt konstigt formaterad.

Men i princip kom jag fram till att E[X|N]=10N och V[X|N]=25N. Och det betyder att V[E[X|N]]=V[10N] och E[V[X|N]=E[25N]. Med det kan du få V[X]=V[E[X|N]] + E[V[X|N]]

Så V(X)=V(10N)+E(25N)?

Hondel 1536
Postad: 4 maj 21:01
destiny99 skrev:
Hondel skrev:

Jag menar E[25N], alltså, väntevärdet av 25 gånger N. Vilket är lika med 25E[N]. Och ja det stämmer att V[10N]=100V[N].

25N kommer från 52N5^2N ovan. Jag skrev det på datorn och när jag kollar på inlägget från mobilen är det helt oförståeligt, matematiken är väldigt konstigt formaterad.

Men i princip kom jag fram till att E[X|N]=10N och V[X|N]=25N. Och det betyder att V[E[X|N]]=V[10N] och E[V[X|N]=E[25N]. Med det kan du få V[X]=V[E[X|N]] + E[V[X|N]]

Så V(X)=V(10N)+E(25N)?

Jepp

destiny99 10701
Postad: 5 maj 07:20
Hondel skrev:
destiny99 skrev:
Hondel skrev:

Jag menar E[25N], alltså, väntevärdet av 25 gånger N. Vilket är lika med 25E[N]. Och ja det stämmer att V[10N]=100V[N].

25N kommer från 52N5^2N ovan. Jag skrev det på datorn och när jag kollar på inlägget från mobilen är det helt oförståeligt, matematiken är väldigt konstigt formaterad.

Men i princip kom jag fram till att E[X|N]=10N och V[X|N]=25N. Och det betyder att V[E[X|N]]=V[10N] och E[V[X|N]=E[25N]. Med det kan du få V[X]=V[E[X|N]] + E[V[X|N]]

Så V(X)=V(10N)+E(25N)?

Jepp

Men då blir det V(X)=10^2V(N)+25E(N)=100×7+25×7=875

så D(X)=sqrt(875)

Hondel 1536
Postad: 5 maj 12:50

Yes, och det var väl korrekt svar också?

destiny99 10701
Postad: 5 maj 13:34
Hondel skrev:j

Yes, och det var väl korrekt svar också?

Ja precis:)

Svara
Close