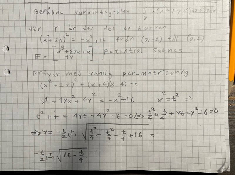
Beräkna kurvintegralen.
Hej! Jag har fastnat på följande uppgift:

Jag vet inte riktigt hur jag ska tänka för att lösa den. Jag har undersökt om den har en potential, men det hade den inte.
Jag har tänkt på Greens sats, men då får jag ett krångligt område att integrera över, så det verkade inte så lämpligt.
Så det enda som återstår är då parametrisering antar jag, men jag lyckas inte hitta en bra parametrisering. Jag har försökt med x = t men då blir uttrycket för y väldigt krånligt men jag kan inte komma på någon annan parametrisering.
Stort tack för tips.

Du kan lägga till ett linjestycke L för att sluta kurvan, så att
,
och använda Greens formel för att beräkna HL. Eller hade du redan försökt med det?
Här är en idé... som jag vill tro kommer att funka.
Börja med Green (lägg till sträcken från (0,2) mot (0,-2) för att få en sluten kurva). Man får därmed
,
där är området som innesluts av , där är den raka sträckan från (0,2) mot (0,-2).
I dubbelintegralen kan man sedan göra 2D-variabelbyte
respektive
vars jacobideterminanterna blir 2 respektive 1/2.
Vitsen med detta variabelbyte är att det jobbiga området i xy-planet omvandlas till en halvcirkelskiva med mittpunkt i origo och radien 4 i uv-planet.
Här är en annan idé... där kurvintegralen beräknas direkt m.h.a. en parametrisering av kurvan. Jag kom på denna parametrisering då variabelbytet i mitt förra inlägg ledde till en halvcirkel i högra halvplanet med radien 4 och mittpunkten i origo.
Kurvan parametriseras nämligen med modifierade polära koordinater:
, vilket egentligen betyder
där går från mot . Med denna parametrisering får man en hanterbar trigonometrisk integral. (d.v.s. hanterbar med vanliga metoder för trigonometriska integraler)
Hej! Tack så mycket för svar! Nu blev det rätt. Jag gjorde som du sa men jag använde bara det ena variabelbytet (det första). Är det en slump att jag fick rätt svar då?

Snyggt!
Jag är inte riktigt med på vad som menas med det "första" variabelbytet. Efter Greens sats i mitt första inlägg (#3) föreslog jag bara ett byte, fast uttryckt på två sätt: 1) nya variabler i termer av de gamla, 2) gamla variabler i termer av de nya.
Mitt andra inlägg (#4) var en helt separat alternativ lösningsmetod där integralen beräknas utan Greens sats.
Jag ber om att få tillägga en kommentar för lösningens fullständighets skull. Det framgår inte av den lösning som du nyss lade upp att du kompenserat för den tillagda sträckan från (0,2) mot (0,-2). (Du har säkert gjort den uträkningen på ett annat papper). Det jag menar är:
I en fullständig lösning behöver man visa att (Direkt beräkning av denna kurvintegral genom att parametrisera sträckan är inte särskilt svår)
Aha, då förstår jag hur du menar.
Oj, ja, jag genomförde den räkningen på ett annat papper men glömde typ bort att ta med den eftersom svaret blev 0. Men så kan man inte göra på en tenta förstår jag.
Tack så mycket för hjälpen!