Beräkna dubbelintegralen över området som omsluts av två kurvor.
Hej! Jag har fastnat på en uppgift som lyder såhär:
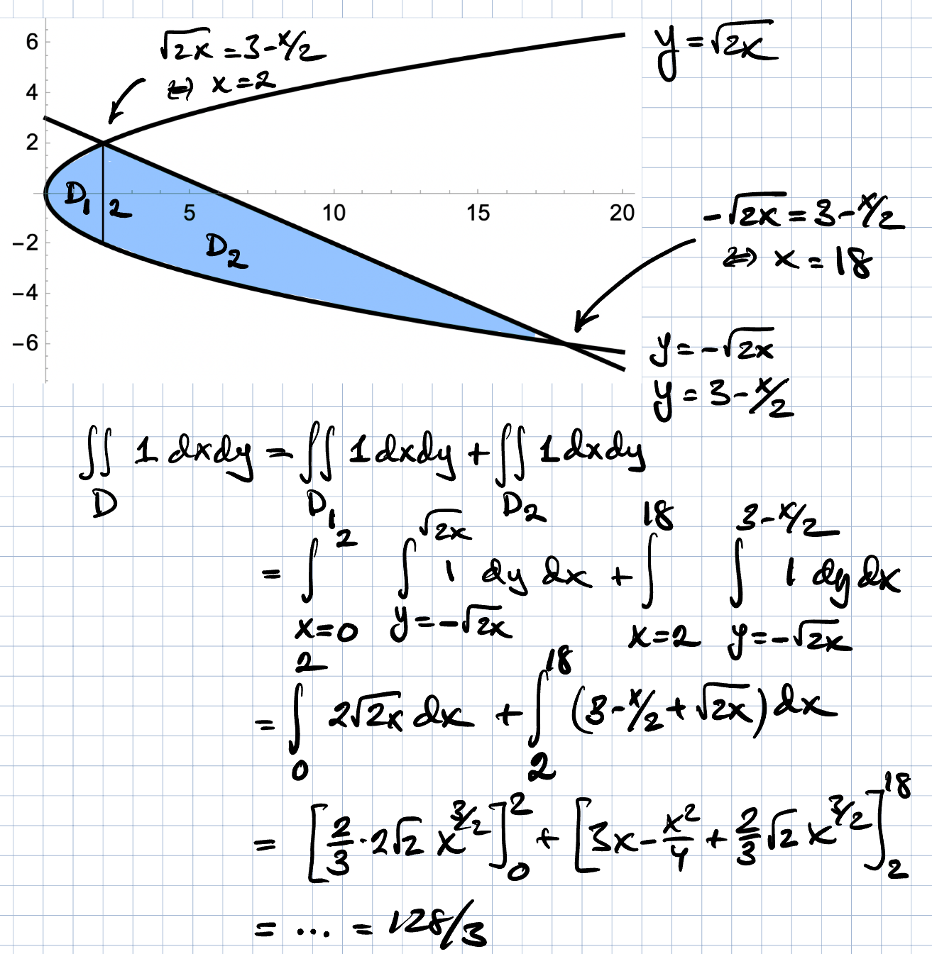
Jag ritade området, och gränserna blev besvärliga så att integrera direkt verkade inte så klokt.
Istället tänkte jag att man först kunde beräkna dubbelintegralen med hela triangeln som område, och sedan beräkna och subtrahera de icke-relevanta volymbidragen, eftersom en dubbelintegral är volymen mellan ett område och motsvarande funktionsyta.
Jag kallade de icke-relevanta områdena för A, C1 och C2 (se första bilden). Så jag beräknade alltså först dubbelintegralen för hela triangeln och sedan drog jag bort dubbelintegralerna för A, C1 och C2.
Men det blir inte rätt. Stort tack för tips på hur man kan gå tillväga!


Jag förstår! Tusen tack!
Notera att beräkningen vore mycket enklare om integrationsordningen hade kastats om, d.v.s. i inre integralen och i yttre integralen. Man skulle nämligen slippa uppdelning i två delområden:
