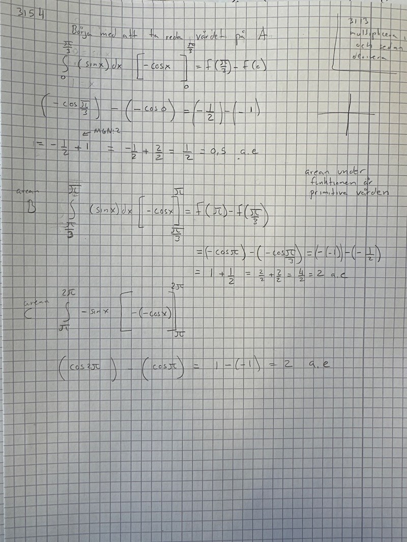
Arean
hejsan skulle jag kunna få hjälp att komma igång med uppgiften?
kan man kolla skärningspunkten på x Axeln? 0=sinx och sedan lösa ut x för att få övre gränsvärden?
Ja. Vilken är den minsta positiva vinkel x som uppfyller sin(x)=0?
Tog arcsin och fick att x = 0 då jag kollade skärningspunkten på x Axeln , 0=sinx
gränsvärdet på b blir att pi/3 under och 0 över?
A ser ju fin ut!
Förlåt jag kanske skulle varit ännu tydligare med att x>0. x=0 motsvarar ju kurvans skärning i origo. Det är ju nästa nollställe vi letar efter.
oklart hur man ska ta reda på gränsvärdet gällan B
Vi kan också lösa sin(x)=0 generellt, alltså med den formel som ger alla lösningar.
det sägs att arean under funktionen är den primitiva funktionen? Är det något man kan använda?
Börja med att lösa sin(x)=0. Ledtråd: det finns oändligt många lösningar, ta hjälp av enhetscirkeln
Så eftersom Sinusfunktionen är periodisk, så betyder det att den upprepar sitt mönster, och därför har den oändligt många lösningar.
så vid origo så är det 0 grader sedan är det pi/2
π/2 motsvarar 90 grader. sin(π/2)=1 enligt enhetscirkeln. Så det kan inte stämma.

Menar pi (180 grader) då är sinx noll igen efter origo
Jippi! Då har vi båda integrationsgränserna va? :)
Ja, då har man arean på A och B
men på C är det samma värde med negativt?
Ja precis. Ytan är ju lika stor, men under x-axeln.
såhär?
Precis :)
Tänkte jag rätt med minustecknet på C?

Nu har du beräknat integralen som motsvaras av det blåa området jag har markerat:

Tänk på att du kan använda tipsen du fick i din andra tråd om arean mellan kurvor för att slippa gissa/komma ihåg hur det ska vara med minustecken när arean ligger ovanför/under x-axeln.