0
svar
228
visningar
destiny99 behöver inte mer hjälp
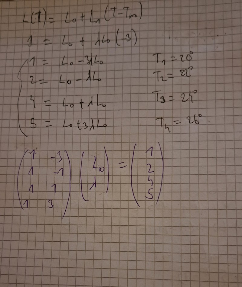
Använd dessa data för att bestämma lambda
Hej!
Har jag tänkt rätt här?

