A fråga på Geometri
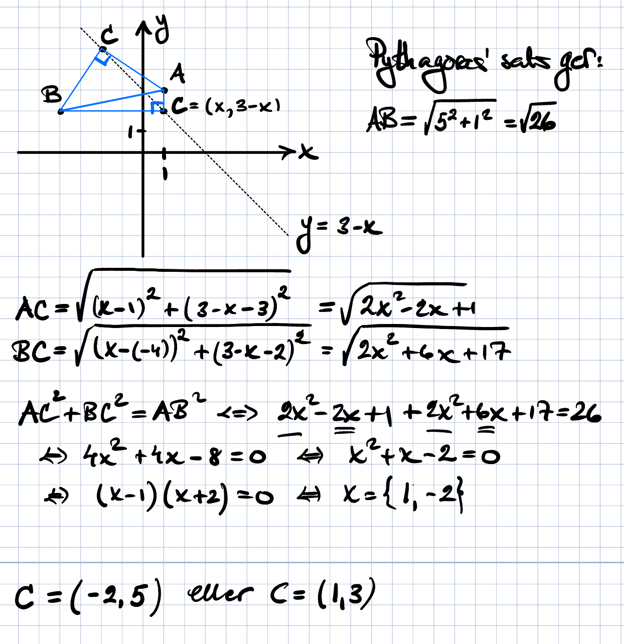
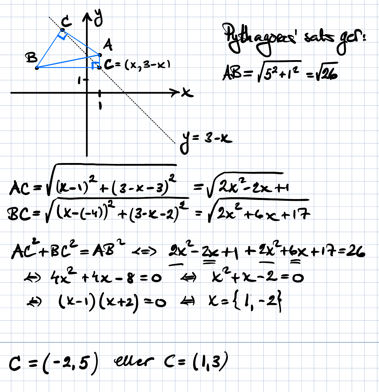
I den rätvinkliga triangeln ABC ligger hypotenusans ändpunkter i A = (1, 3) och i B = (-4, 2). Bestäm vart hörnet C ska finnas om det ligger på linjen y= 3-x?
Skulle uppskattat hjälp, tack!
I en rätvinklig triangel gäller Pythagoras sats.
Du har koordinaterna för två av hörnen. Det tredje ligger på linjen y = 3 - x i en punkt du kan kalla (a, 3 - a).
Pythagoras sats ger a.
Tillägg: 11 maj 2023 20:27
Annars kan du använda att produkten av k-värdena för linjen AC och linjen BC ska bli -1.
Det ena k-värdet är
Dr. G skrev:I en rätvinklig triangel gäller Pythagoras sats.
Du har koordinaterna för två av hörnen. Det tredje ligger på linjen y = 3 - x i en punkt du kan kalla (a, 3 - a).
Pythagoras sats ger a.
Tillägg: 11 maj 2023 20:27
Annars kan du använda att produkten av k-värdena för linjen AC och linjen BC ska bli -1.
Det ena k-värdet är
kan du föklara vidare?
Lösningsförslag
Visa spoiler

Trinity2 skrev:Lösningsförslag
Visa spoiler
Tack så mycket!
