2362 förändringshastighet

Jag förstår verkligen inte vad som blir fel. Fattar aldrig hur jag ska tänka på sånna här uppgifter
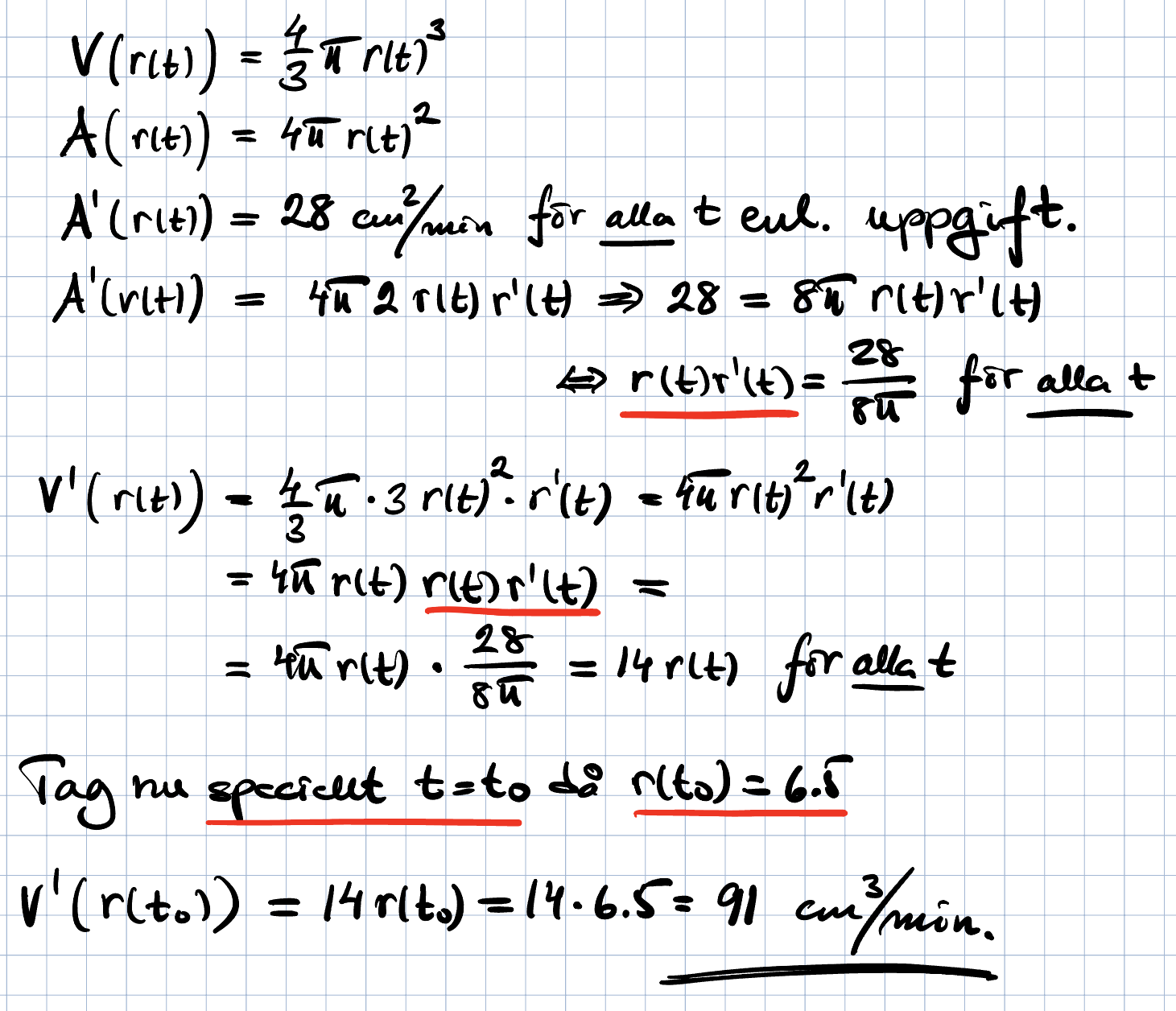
Volymen beror av arean och arean beror i sin tur av radien. Förstör inte hur min uppställning kan vara fel
Visa spoiler

Jag förstår inte hur du kommer fram till det. Och varför är mitt sätt att tänka på fel?
Ha en fin dag skrev:Jag förstår inte hur du kommer fram till det. Och varför är mitt sätt att tänka på fel?
Därför ingen av dina derivator har "dt" i sig, därmed kan du aldrig dra nytta av värdet 28 som är en förändring per tidsenhet, dt. Man kan derivera hur som helst (egentligen), men det betyder inte att det finns siffervärden tillhörande dessa derivator i texten. Det gäller att "derivera på rätt sätt" i dessa uppgifter.
okej. Men hur förstår du att du ska ställa upp just de uttrycken. Hur vet du innan du vet. finns det inget sätt att tänka på som funkar varje gång?
du måste derivera map t.
dV/dt = (dV/dr) * (dr/dt)
sen V'(r) = , och arean arean konstant. Kan du fortsätta?
Ha en fin dag skrev:okej. Men hur förstår du att du ska ställa upp just de uttrycken. Hur vet du innan du vet. finns det inget sätt att tänka på som funkar varje gång?
All uppgifter av denna typ, som skriver ”NÄR…?” Handlar om tid, därför är tiden ”grundstenen”. Man kan naturligtvis derivera på längder, ytor mm men dessa är alla beroende av just tiden, och funktioner av tiden, vilka därmed har en inre (tidsderivata). Tiden själv däremot är ”grunden”, ”basen”, och beror i sin tur INTE av något annat.